Signal to Noise Ratio | SAR Resolution Parameters | Clutter Ratios | Other SAR Parameters

SAR Constants & Equations

The following constants and equations relate generally to synthetic aperture radar (SAR).

Signal to Noise Ratio

Signal to noise ratio is defined as

where
Ti = integration time,
PRF = pulse repetition frequency,
Pt = peak power,
λ = wavelength,
GT = transmitter antenna gain,
GR = receiver antenna gain,
σ = radar cross section,
GO = other gains/losses,
Rt = transmitter-target range,
Rr = receiver-target range,
LAT = transmit path atmosphere attenuation,
LAR = receive path atmosphere attenuation,
PN = KTsB, where
K = Boltzman's Constant (1.38 x 10-23 W/Hz K),
Ts = system temperature, and
B = compressed bandwidth, and
Lr = receiver transmission line loss

SAR Resolution Parameters

Technical aspects of SAR resolution parameters modeled by the Radar Module are presented below.

Time Resolution Product

The time-resolution product is defined as

where
Ti = integration time,
ρaz = azimuth resolution,
λ = wavelength,
Kaz = azimuth factor,
= azimuth plane rotation rate of the transmitter about the facility, place, or target, and
= azimuth plane rotation rate of the receiver about the facility, place, or target

Range Resolution

Range resolution in the target's local horizontal plane is defined as

where
ρr = range (along line of sight) resolution = cKr /2B, where
c = speed of light,
Kr = range broadening factor, and
B = compressed bandwidth, and
ψ = grazing angle at target

Clutter Ratios

Clutter ratios and related factors form the subject of the constants and equations discussed below.

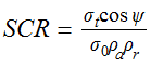
Signal to Clutter Ratio

Signal to clutter ratio is defined as

where
σ0 = terrain clutter coefficient,
ψ = grazing angle,
ρa = azimuth resolution, and
ρr= range resolution
σt = target radar cross section

Clutter to Noise Ratio

The clutter to noise ratio is derived by dividing the signal to noise ratio by the signal to clutter ratio, i.e.,

CNR = SNR/SCR, where

SNR = signal to noise ratio, and
SCR = signal to clutter ratio

Effective Noise Backscatter Coefficient

The effective noise backscatter coefficient is defined as

where
σ0= terrain clutter coefficient, and
CNR = clutter to noise ratio

Point Target to Clutter Ratio

The point target to clutter ratio is defined as

where
σ = radar cross section,
ψ = grazing angle,
ρa = azimuth resolution,
ρr = range resolution,
σn = effective noise backscatter coefficient,
MNR = multiplicative noise ratio, and
σ0= terrain clutter coefficient

Other SAR Parameters

Technical factors regarding SAR parameters other than those presented above are discussed here.

FM Chirp Rate

The FM chirp rate is defined as

where
PCR = pulse compression ratio,
B = compressed bandwidth, and
τ = uncompressed pulsewidth

Max Scene Depth

The maximum scene depth is defined as

where
BIF = IF bandwidth (data sample rate), and
γ = FM chirp rate

Max Scene Width

The maximum scene width is defined as

where
PRF = pulse repetition frequency,
Ti = integration time,
ρaz = azimuth resolution, and
Ka = azimuth factor

Area Coverage Rate

The area coverage rate is defined as

where
Δr = max scene depth,
Wa = max scene width, and
Ti = integration time