Two Ray (Fourth Power Law) Model

This propagation model is applicable to short-range and low antenna heights for the transmitter and the receiver antennas. The situation may arise where the receiving antenna may experience a destructive ground reflection in addition to the LOS transmission.

STK computes the free space and the two ray components separately and reports them independently under the Free Space Loss and Urban Terres Loss elements of the access Link Information data provider.

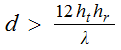
The total propagation loss (free space and two ray destructive signal loss) may be approximated by the well known "fourth power law" model. The portion describing the two ray destructive signal loss is computed according to the following equation:

where

λ is the wavelength.

d is the link range.

ht is the height of the transmitter above ground.

hr is the height of the receiver above ground.

Satisfying the following condition will ensure the validity of the model. If this condition is not satisfied, a warning indicating that the loss was not computed is displayed in the message viewer.