Calculation Object Components

Astrogator makes a number of Calculation Objects available for use in constructing other components, such as stopping conditions, or for use as results, target sequence constraints and report and graph elements. Also, you can create new Calculation Objects using the Component Browser. The types of Calculation Objects provided with Astrogator include the following:

Type Description
Epoch The epoch of a given state in the Mission Control Sequence.
Access Access between objects.
Cartesian Elements X, Y, and Z components of position and velocity vectors.
Cartesian STM The 36 position and velocity state transition matrix elements for use in combination with the State Transition Matrix propagator function and valid for consecutive Propagate Segments. Expressed in Cartesian components, and allowing for choice of coordinate system. The default is Earth Centered Inertial.
Constants Provides constant values that are accessible to in-line calculation objects and scripting tool scripts. Gravitational Parameter, Gravity Coefficient, Reference Radius, Speed of Light.
Delaunay Elements Delaunay G, H, L, and Semi-Latus Rectum.
Environment Atmospheric density, pressure and temperature.
Equinoctial Elements Equinoctial h, k, p, q and Mean Longitude.
Formation Select relative values for use in formation flying.
Geostationary

Various calculations that may be useful for geostationary orbits.

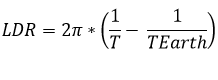
The longitude drift rate calculation object is computed as:

where,

T is the instantaneous J2 period of the satellite and TEarth is the rotation rate of the Earth.

For more information, see the GeoStationary data provider.

Geodetic Latitude, longitude, altitude, height above terrain, latitude rate, longitude rate, altitude rate.
Ground Track Repeating Ground Track Error to be measured at the equator (as a distance).
Keplerian Elements Classical elements specifying an orbit by its size, shape and three-dimensional orientation in space.
Maneuver V (integrated along orbit path), FuelMass, Fuel Density, Fuel Used, Inertial V Magnitude, Inertial Vx, Inertial Vy, Inertial Vz, Specific Impulse, Tank Pressure, Tank Temperature, Thrust Vector X, Thrust Vector Y, Thrust Vector Z, Total Mass, Total Mass Flow Rate.
Math

Absolute Value, Difference, Maximum Value, Minimum Value, and Negative.

 

An Absolute Value object expresses the absolute value of the reference calculation object.

 

A Difference object expresses the difference of the reference calculation object between two points in time, the first being the beginning of the segment where the difference object is placed and the second being the current time at the end of the segment.

 

A Minimum Value or Maximum Value object expresses the minimum or maximum value - at an ephemeris point within the segment - of the reference calculation object.

 

A Negative object expresses the negative value of the reference calculation object.

Mean Elements Various Kozai-Izsak and Brouwer-Lyddane means.
Multibody B-plane elements, delta declination and right ascension.
Other Orbit Including beta angle, C3 energy, true longitude, etc.
Power Internal, Processed, Solar Array.
Relative Motion Various relative values compared to reference satellite.
Scalar A scalar value, based on any Calculation component from the Analysis Workbench.
Scripts Custom functions and MATLAB, VBScript, Perl, or JScript in-line functions. To use any MATLAB function - even an in-line function - you must be able to connect to MATLAB; STK will automatically start a session and connect when required. In-line functions are used for very simple computations that are not presently available as Calculation Objects in the Component Browser. They have three attributes - CalcArguments, InlineFunc, UnitDimension. When an in-line Calculation Object is used, STK creates a function with the inputs listed in CalcArguments, returning the value computed by the InlineFunc, with a name derived from the Calculation Object name itself.
SEET Space environment components (SEET license required): DamageFlux, DamageMassFlux, GeoMagFieldDipoleL, GeoMagFieldFineLineSeparation, ImpactFlux, ImpactMassFlux, SAAFluxIntensity, VehicleTemperature.
Segments

A Difference Across Segments object functions as a Difference math object but is calculated relative to another segment.

A Difference Across Segments Across Satellites object also functions as a Difference math object but is calculated relative to a segment in the MCS of another Astrogator satellite.

A Position Difference Across Segments object calculates the vector magnitude difference between Cartesian positions of the initial (or final) state of the segment on which it is added as a result and that of the initial (or final) state of a reference segment.

A Position Velocity Difference Across Segments object calculates the vector magnitude difference between Cartesian positions and velocities of the initial (or final) state of the segment on which it is added as a result and that of the initial (or final) state of a reference segment.

A Value at Segment object expresses the initial or final value of a calculation object at a specified segment.

A Value at Segment Other Satellite object functions as the Value at Segment object but references a segment in the MCS of another Astrogator satellite.

A Velocity Difference Across Segments object calculates the vector magnitude difference between Cartesian velocities of the initial (or final) state of the segment on which it is added as a result and that of the initial (or final) state of a reference segment.

Spacecraft Properties Drag, Radiation Pressure, and Solar Radiation Pressure coefficient and area values of a spacecraft. These objects can be used to report how a propagator plugin changes these values over time. When these properties are changed by a propagator evaluation plugin, they keep the new value in subsequent steps in the propagation, and in subsequent segments in the MCS.
Spherical Elements Cosine of vertical FPA, declination, declination rate, flight path angle, R magnitude, right ascension, right ascension rate, magnitude of the velocity vector, velocity azimuth.
Target Vector C3 Energy, Incoming and Outgoing Asymptotes and other Target Vector elements.
Time Duration from a given epoch.
UserValues User variable values.
Vector Vector components, dot products, angles between vectors, etc.

A brief description of a Calculation Object is displayed when you highlight it in the Component Browser. To view the elements of a Calculation Object (and edit them, if the variable is a copy), double-click it in the Component Browser, bringing up its Component Edit window.