Rotating Libration Point Coordinate System

The rotating libration point (RLP) coordinate system is a rotating coordinate system used for missions to the Lagrange points. The coordinate system, illustrated below, is defined for a system consisting of a primary and a secondary gravitating body as follows:

  • Define the primary as the heavier of the two bodies, the secondary as the lighter.
  • Define the coordinate system x-axis as the axis pointing from the primary to the secondary.
  • The secondary body is in motion with velocity V about the primary. Define the y-axis to be orthogonal to the x-axis in the plane of the secondary's motion about the primary, pointing in the direction the secondary moves about the primary (see drawing).
  • Define the z-axis orthogonal to the x and y axes.
  • Place the origin at a convenient point. This point is usually the Lagrange point of interest.

The description given here is based on one given in National Aeronautics and Space Administration, Mission Analysis and Design Tool (Swingby): Mathematical Principles, Revision 1, September 1995 (Draft), Section 9.1. See also, Computer Sciences Corporation and National Aeronautics and Space Administration, Goddard Trajectory Determination System (GTDS): Mathematical Theory, Revision 1, July 1989, Section 3.3.14.

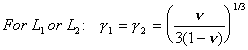
The RLP coordinate system definition given here is the most natural when the coordinate origin is placed at one of the collinear Lagrange points. The locations of these points can be found by calculating the values of that solve the following equations.

Equations 1

using Newton's method (or some other numerical technique). The resulting quantity is the distance from the body closest to the Lagrange point to that point, scaled so that the distance from the primary to the secondary is one unit. Approximate starting points for the root solver need to be specified. For Newton's method, the following expressions work well:

Equations 2

The resulting quantity multiplied by the distance from the primary to the secondary is the distance from the nearest body in the system to the corresponding Lagrange point, as indicated in the figure:

The quantity is the relative mass of the secondary, given by

Equation 3

The coordinate system moves about the primary with the same angular speed as the secondary. This makes the transformation to and from the RLP coordinate system nontrivial. The unit vectors , and for the RLP coordinates can be defined in terms of the vector from the primary to the secondary and the vector , the velocity vector for the secondary, using the relationships:

Equations 4

Note that the origin of the coordinate system does not enter this definition. It is irrelevant to the definition of the orthogonal triad of coordinate directions. This triad moves in time due to the rotation of the coordinate system. The rate of change of the unit vectors is given by

Equations 5

In the absence of external torques (such as perturbations due to other solar system bodies), conservation of angular momentum requires that , producing the results:

Equations 6

These formulae are needed when calculating the transformation matrix from an inertial frame to the RLP reference frame. For example, the transformation from geocentric inertial (GCI) to RLP coordinates is accomplished using:

Equation 7

where the transformation matrices and are given in terms of the RLP unit vectors , and , and the inertial coordinate system unit vectors , and by:

Equations 8

Note that in Equation 7 the origin of the RLP coordinate system is used to move the position and velocity in the inertial coordinate system into inertial coordinates centered on the RLP origin before transforming into the rotating reference frame. The inverse transformation, from the RLP frame to the inertial frame, is accomplished by transforming the RLP state into an inertial state centered at the RLP origin, and then translating to the correct origin for the inertial system. For the transformation from RLP coordinates to GCI coordinates, this is accomplished using:

Equation 9

(Here the property is used explicitly to produce the final form of the equation.)

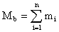
Finally, either the primary or the secondary may consist of several gravitating bodies. If this is the case, the barycenter of these bodies should be used as the location of the corresponding point. This location is calculated using, for n bodies:

Equation 10

The total mass of the bodies is the effective mass at the barycenter:

Equation 11