Exercise: Hohmann Transfer -- Technical Notes

Illustration of a Hohmann Transfer

Since the ΔVs occur at the apsides, the horizontal flight path angle is zero at the time of each burn and the velocity vector of the transfer orbit at each apside is collinear with that of the respective circular orbit. Thus, in the case of a Hohmann Transfer between inner and outer orbits, ΔV1 is the additional thrust needed to increase the apoapsis of the orbit to the radius of the outer circle, and ΔV2 is the further thrust needed to circularize the orbit, i.e., to increase its periapsis to be equal to its apoapsis.

These notes are based on Example 3-6-1 in Hale, Francis J., Introduction to Space Flight, Englewood Cliffs, N.J.: Prentice-Hall (1994), pp. 43-44.

Derivation of Values Used for ΔVs

To compute the ΔVs for the Hohmann Transfer, you need to know the velocity of the satellite in each of the circular orbits and at the apsides of the transfer ellipse. The velocities of the inner and outer orbits are given by:

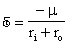
where μ is the Earth's gravitational parameter and ri and ro are the radii of the respective orbits. The energy of the transfer orbit is given by

= -8.145

Using the well-known vis viva equation and solving for velocity,

= -8.145

where r = ri at perigee and r = ro at apogee, the velocities at the apsides are

Thus,

The total velocity change required for the transfer is

ΔV = ΔV1 + ΔV2 = 3.886 km/sec