SAR Constants and Equations
The following constants and equations relate generally to synthetic aperture radar (SAR).
Signal to Noise Ratio
Signal to noise ratio is defined as
where
Ti = integration time,
PRF = pulse repetition frequency,
Pt = peak power,
λ = wavelength,
GT = transmitter antenna gain,
GR = receiver antenna gain,
σ = radar cross section,
GO = other gains/losses,
Rt = transmitter-target range,
Rr = receiver-target range,
LAT = transmit path atmosphere attenuation,
LAR = receive path atmosphere attenuation,
PN = KTsB, whereK = Boltzman's Constant (1.38 x 10-23 W/Hz K),Ts = system temperature, andB = compressed bandwidth, and
Lr = receiver transmission line loss
SAR Resolution Parameters
Technical aspects of SAR resolution parameters modeled by the Radar capability are presented below.
Time Resolution Product
The time-resolution product is defined as
where
Ti = integration time,
ρaz = azimuth resolution,
λ = wavelength,
Kaz = azimuth factor,
= azimuth plane rotation rate of the transmitter about the facility, place, or target, and
= azimuth plane rotation rate of the receiver about the facility, place, or target
Range Resolution
Range resolution in the target's local horizontal plane is defined as
where
ρr = range (along line of sight) resolution = cKr /2B, wherec = speed of light,Kr = range broadening factor, andB = compressed bandwidth, and
ψ = grazing angle at target
Clutter Ratios
Clutter ratios and related factors form the subject of the constants and equations discussed below.
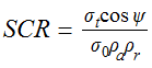
Signal to Clutter Ratio
Signal to clutter ratio is defined as
where
σ0 = terrain clutter coefficient,
ψ = grazing angle,
ρa = azimuth resolution, and
ρr= range resolution
σt = target radar cross section
Clutter to Noise Ratio
The clutter to noise ratio is derived by dividing the signal to noise ratio by the signal to clutter ratio, i.e.,
CNR = SNR/SCR, where
SNR = signal to noise ratio, and
SCR = signal to clutter ratio
Effective Noise Backscatter Coefficient
The effective noise backscatter coefficient is defined as
where
σ0= terrain clutter coefficient, and
CNR = clutter to noise ratio
Point Target to Clutter Ratio
The point target to clutter ratio is defined as
where
σ = radar cross section,
ψ = grazing angle,
ρa = azimuth resolution,
ρr = range resolution,
σn = effective noise backscatter coefficient,
MNR = multiplicative noise ratio, and
σ0= terrain clutter coefficient
Other SAR Parameters
Technical factors regarding SAR parameters other than those presented above are discussed here.
FM Chirp Rate
The FM chirp rate is defined as
where
PCR = pulse compression ratio,
B = compressed bandwidth, and
τ = uncompressed pulsewidth
Max Scene Depth
The maximum scene depth is defined as
where
BIF = IF bandwidth (data sample rate), and
γ = FM chirp rate
C = speed of light
Max Scene Width
The maximum scene width is defined as
where
PRF = pulse repetition frequency,
Ti = integration time,
ρaz = azimuth resolution, and
Ka = azimuth factor
Area Coverage Rate
The area coverage rate is defined as
where
Δr = max scene depth,
Wa = max scene width, and
Ti = integration time
= azimuth plane rotation rate of the transmitter about the facility, place, or target, and
= azimuth plane rotation rate of the receiver about the facility, place, or target