Power Flux Density and Flux Density Technical Notes

Power Flux Density

The CommSystem's Interference Information data provider reports the Power Flux Density (Pwr Flux Density) per interferer and is independent of the desired or intended transmitter. The following is the equation behind STK’s Power Flux Density. All units are in a linear scale.

where,

EIRPi is the Effective Isotropic Radiated Power of the interferer in the receiver’s direction.

Lpol is the polarization loss of the interferer.

GrcvrAnt is the antenna gain in the direction of the interferer.

GmaxrcvrAnt is the maximum antenna gain (bore sight gain).

Bref is a reference bandwidth.

Bi is the bandwidth of the interferer.

D is the distance between the interferer and the receiver.

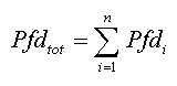
The CommSystem’s Link Information data provider reports the total power flux density (Pwr Flux Density) from all the interferers and is independent of the desired or intended transmitter, given by:

where,

n is the number of interferers.

Flux Density

The Access’s Link Information data provider reports on each desired or intended transmitter and reports Flux Density, given by:

where,

EIRP is the Effective Isotropic Radiated Power in the link direction.

Lprop is the channel propagation loss.

f is the received frequency.

c is the speed of light.

Effective Isotropic Radiated Power

where,

Pt is the transmitter power.

Gant is the transmitter antenna gain.

Lfilt is the filter loss

Lpost is the post transmit gains/losses.