Lambert Solver
Determining the impulse that produces the orbit connecting a departure state (position and velocity) with a later arrival point (position) is Lambert’s problem. The solution to this problem is well known, and various algorithmic approaches exist for implementing that solution. Lambert’s problem is inherently concerned with two-body orbital dynamics and requires a central body.
The Lambert Solver tool uses the methods detailed by Richard H. Battin, which is also used elsewhere within STK for ballistic propagation.
Battin, Richard H., An Introduction to the Mathematics and Methods of Astrodynamics, AIAA Education Series, AIAA, Inc., New York, 1987, pg. 258
Creating a Lambert Solver component
- Click the Utilities menu and select Component Browser....
- Select Design Tools in the list of components.
- Select the Lambert Solver component.
- Click .
- Click in the Name or User Comment fields to customize them.
- Double-click the component to open the tool.
Defining the Lambert Solver component
To define the Lambert Solver, proceed using the following steps:
- In the Central Body field, click
to select a central body. - In the Mode field, select the operating mode:
- Specify initial and final central bodies - Specify the boundary states in relation to STK central bodies.
- Specify initial and final states - Specify or import explicit position and velocity state variables.
- In the Solution Option field, select one of the following options:
- Fixed time - Find the connecting solution consistent with the specified Time of Flight, if possible. This is the only option available for the Specify initial and final central bodies mode.
- Minimum eccentricity - Find the solution associated with the fundamental ellipse.
- Minimum energy - Find the transfer orbit with the smallest possible value for semimajor axis.
- In the Initial Epoch field, enter the time at which the initial state is defined. You can enter a specific value or select a time instant component from Analysis Workbench.
- If you are using the Fixed time solution option. enter the duration of the Lambert arc in the Time of Flight field.
- If you are using the Specify initial and final states mode with the Minimum eccentricity or Minimum energy solution options, you can select the Find Long Solution check box to solve for the Lambert arc that is consistent with the supplement of the default transfer angle.
Both major modes of the tool require a central body. Central bodies that have no children are only valid if you are using the Specify initial and final states mode.
Defining State or Central Body Properties
The remaining properties that you need to define are a function of the Mode.
Specifying the Initial and Final Central Bodies
Specifying the Initial and Final States
Calculating and using the solution data
After defining all the Lambert Solver data, you can calculate and apply the solution. Click . The Solution section displays relevant information for the calculated solution.
- In the Propagator for Sequence field, click
to select the propagator for the resulting sequence. - In the Name for Sequence field, enter the name for the sequence. If left blank, the resulting sequence will be automatically named “Lambert Solution.” If this is the same name as an existing sequence, you can select the Replace Existing Sequence check box to override the existing sequence data with the new solution.
- Select the Auto Add to MCS Segments check box to automatically add the sequence to the MCS Segments Component Browser library after the sequence construction. If a component has the same name as another component, a digit is added to the most recent component consistent with existing Component Browser paradigms.
- Click to construct an Astrogator Sequence segment containing an Initial State segment and a Target Sequence segment. The Target Sequence contains two Impulsive Maneuver segments and a Propagate segment.
Solution Data
To use the solution results in a sequence, proceed with the following steps:
If you plan on editing the sequence before you add it to the Component Browser, leave this check box cleared.
Editing and adding segments
To manually edit the segments before adding them to the Component Browser:
- Click . The Edit Segments window appears.
- Make your edits to the segments and then click .
- Click to add the constructed sequence to the MCS Segments library.

is the velocity on the Lambert orbit after the departure impulse and
is the velocity on the Lambert orbit before the insertion impulse at arrival (both velocities are described in the departure body’s inertial frame). The
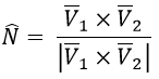
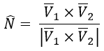
̂ direction is the default direction of radial displacement corresponding to a departure angle of 90°.
axes are depicted in Figure 1.
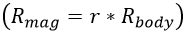
. The departure point is placed along the radial displacement direction at the specified magnitude. If the departure angle is 90°, the position of the departure point is fully defined
.
, and the departure angle adjusts the position vector as measured in the
plane in a right-hand sense about
from
. Thus, an angle of 90° is consistent with
. Other choices of the departure angle result in alternate departure positions on the circle of radius Rmag in the 




(everything in the arrival body’s inertial frame).