Free Space Loss | Atmospheric Loss Models | Urban and Terrestrial Models | System Temperature | Antenna Temperature | Refraction Models
Environmental and Loss Factors
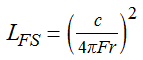
Free space loss
Free space loss is given by:
where:
LFS is the free space loss (in linear units).
c is the speed of light. The value used in STK is 2.99792458e08 m/s.
F is the transmitter output frequency.
r is the range between the transmitter and receiver.
Atmospheric loss models (atmospheric absorption models)
STK provides the following atmospheric absorption model options:
ITU-R P.676-9
TIREM 5.50
Simple Satcom
Script Plugin
Simple Satcom model
This atmospheric absorption model is valid over the frequency range from 1 GHz to 350 GHz. Signals operating at frequencies outside this range will have no attenuation. This model is only applicable between the altitude of 20km to 100km. If the signal between a Transmitter or Receiver is not within this altitude range, no attenuation will occur. Use of this model is dependent on two factors:
- Is the model enabled at the scenario level, using the option on the RF Environment page?
- Does the signal actually pass through the atmosphere?
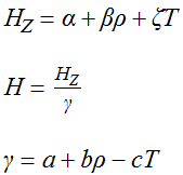
STK then computes the gaseous absorption loss LGA (in dB units) as follows:
where:
![]()
, b,
, β, ζ are the frequency-dependent model coefficients. STK determines the exact values used in the equations by using logarithmic interpolation based on the transmitter frequency. The table of raw values is in the data file GACoeff.dat in the directory
<STK install folder>\STKData\CentralBodies\Earth\RfYou can change these values in this file.T is the surface air temperature in degrees C, obtained from the receiver or transmitter's parent object from the value specified on the Atmosphere page.ρ is the surface water vapor concentration (g/m3).θ is the local elevation angle from a ground station to a satellite.
In the case of satellite-to-satellite communication at very low grazing altitudes, the signal passes through the atmosphere; the Simple Satcom model WILL attenuate the signal.
Ippolito, Louis J., Jr., Radiowave Propagation in Satellite Communications , New York: Van Nostrand Reinhold (1986), Ch. 3.
Urban and Terrestrial models
STK includes the following Urban and Terrestrial models:
Two Ray
Urban Propagation Wireless InSite
Two Ray (Fourth Power Law) model
This propagation model is applicable to short-range and low antenna heights for the transmitter and the receiver antennas. The situation may arise where the receiving antenna may experience a destructive ground reflection in addition to the LOS transmission.
If the Transmitter or Receiver has an height above ground greater than 300m, the model will not compute a loss.
You can approximate the total propagation loss, free space and two ray destructive signal loss, by the well known "fourth-power law" model. The portion describing the two ray destructive signal loss is computed according to the following equation:
where
λ is the wavelength.
d is the link range.
ht is the height of the transmitter above ground.
hr is the height of the receiver above ground.
Satisfying the following condition will ensure the validity of the model. If this condition is not satisfied, STK displays a warning in the message viewer indicating that it did not compute the loss.
STK computes the free space and the two ray components separately and reports them independently under the free space and atmospheric loss columns in the Link Budget reports.
The sum of the free space loss and the two ray components constitute the "fourth power law" loss.
System Noise Temperature
The System Noise Temperature calculation model in STK has several noise components; this section describes all the contributing factors and how STK calculates the total System Noise Temperature.
The antenna component (Tantenna): The antenna noise consists of all noise coming from the environment into the antenna. Depending on the antenna type and your selections of the scenario environment, this may include sun noise, atmosphere, rain, troposheric and ionospheric noise, galactic noise, and cosmic background noise.
The antenna connects to the receiver front end by means of three system components:
- Antenna-to-Low-Noise-Amplifier (LNA) cable: This cable has both a loss value (LantToLNA), including connectors, and a noise temperature value (TantToLNA).
- Receiver front-end LNA: The LNA has a gain (GLNA), noise figure (NFLNA), and a noise temperature (TLNA).
- LNA-to-RF-receiver cable: This cable has a loss value (LLNAToRcvr), including connectors, and a noise temperature (TLNAToRcvr).
The component temperatures are in degrees Kelvin, and the LNA gain, noise figure, and loss values are in linear scale (not in dB).
You can provide additional sources of noise data (Tother), such as external noise profile data files, user-specified plugins, additional constant noise sources, etc. These are external to the antenna; STK adds them to the antenna noise temperature (Tantenna). If you do not provide any of these sources, then Tother = 0.
STK then computes the total System Noise Temperature as follows:
Total System Noise Temperature = Tantenna + T1 + T2 + T3
where
Tantenna = base Tantenna described above + Tother
T1 = TantToLNA * (LantToLNA - 1.0)
T2 = TLNA * (NFLNA - 1.0)*LantToLNA
T3 = TLNAToRcvr * (LLNAToRcvr - 1.0)*LantToLNA/GLNA
System and antenna noise temperature are affected significantly by antenna polarization.
Antenna temperature
Antenna temperature is defined as
Ta = TExternal + TSun + TRain (ground-based objects), or
Ta = TSky + TGround + TSun + Train + Tcosmic +Tother (all other objects), where
Texternal = F(θ) ,
whereF(θ) is the interpolated antenna noise temperature as a function of the elevation angle based on your supplied external data. STK uses third-order Lagrange interpolation. If the elevation angle is outside the range you supplied, STK will use the closest value,
where
TSModel is the Sun noise temperature as calculated by the Sun model. The model is defined over the frequency range from 140 MHz to 100 GHz and can be calculated using:
wheref = frequency in GHz= integrated antenna gain over region intersected by Sun or Earth
TRain = T (1 - LRain)whereT = surface temperature in KelvinLrain = rain loss (in linear units)
Tsky = T (1 - LGAwhereLGA = gaseous absorption loss (in linear units),
TGround is defined analogously to Tsun
Tcosmic = 2.7 K
Tother = value you provided
Maral, G., and M. Bousquet, Satellite Communications Systems: Systems, Techniques and Technology , 2nd ed., Chichester: Wiley (1993), sec. 8.3.3.1.
Refraction models
The following constants and equations relate to refracted elevation and line-of-sight constraints.
ITU Refraction model
The ITU Refracted Elevation model is based on International Telecommunications Union Recommendation 834-4 (2003), equations (12-14). For the Refracted Line of Light constraint, the refracted elevation to the horizon is computed via equations (8-11) of the same ITU Recommendation. For elevation angles below the horizon, the refracted line-of-sight access constraint employs the unrefracted elevation angle to compute the range to the Earth. If the target range is less than this value, the constraint is satisfied.
4/3 Earth Radius method
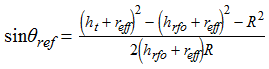
The 4/3 Earth Effective Radius method defines the refracted elevation angle θref as
where
ht = altitude of the target,
reff = 4/3 earth radius below the RF (comm or radar) object,
hrfo = altitude of the RF object, and
R = RF object-target range
For the line-of-sight constraint, the refracted range to the horizon rhor is calculated via trigonometry of right triangles:
The refracted elevation angle of the horizon θhor is computed as
If θref > θhor , line of sight exists, and the constraint is satisfied. If θref < θhor and R < Rhor, compute the range to the ground Rg at θref. If Rg > R , the constraint is satisfied.
, b,
, β, ζ are the frequency-dependent model coefficients. STK determines the exact values used in the equations by using logarithmic interpolation based on the transmitter frequency. The table of raw values is in the data file GACoeff.dat in the directory

= integrated antenna gain over region intersected by Sun or Earth