Free Space Loss | Atmospheric Loss Models | Urban and Terrestrial Models | System Temperature | Antenna Temperature | Refraction Models
Environmental and Loss Factors
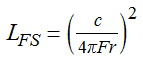
Free space loss
Free space loss is given by:
where:
LFS is the free space loss (in linear units).
c is the speed of light. The value used in STK processing is 2.99792458e08 m/s.
F is the transmitter output frequency.
r is the range between the transmitter and receiver.
Atmospheric loss models (atmospheric absorption models)
The STK application provides the following atmospheric absorption model options:
ITU-R P.676-13
TIREM 6.30 (TIREM 5.50 is also available, in the Previous Versions folder)
Simple Satcom
Script Plugin
Simple Satcom model
This atmospheric absorption model is valid over the frequency range from 1 GHz to 350 GHz. Signals operating at frequencies outside this range will have no attenuation. This model is only applicable between the altitude of 20km to 100km. If the signal between a Transmitter or Receiver is not within this altitude range, no attenuation will occur. Use of this model is dependent on two factors:
- Is the model enabled at the scenario level, using the option on the RF Environment page?
- Does the signal actually pass through the atmosphere?
STK software then computes the gaseous absorption loss LGA (in dB units) as follows:
where:
![]()
, b,
, β, ζ are the frequency-dependent model coefficients. STK software determines the exact values used in the equations by using logarithmic interpolation based on the transmitter frequency. The table of raw values is in the data file GACoeff.dat in the directory
<Install Dir>\STKData\CentralBodies\Earth\RfYou can change these values in this file.T is the surface air temperature in degrees C, obtained from the receiver or transmitter's parent object from the value specified on the Atmosphere page.ρ is the surface water vapor concentration (g/m3).θ is the local elevation angle from a ground station to a satellite.
In the case of satellite-to-satellite communication at very low grazing altitudes, the signal passes through the atmosphere; the Simple Satcom model WILL attenuate the signal.
Ippolito, Louis J., Jr., Radiowave Propagation in Satellite Communications , New York: Van Nostrand Reinhold (1986), Ch. 3.
Urban and Terrestrial models
The STK application includes the following Urban and Terrestrial models:
Two-Ray
Urban Propagation Wireless InSite
Two-Ray Model
This propagation model applies to short-range and low antenna heights for the transmitter and the receiver antennas. The situation may arise where the receiving antenna may experience a destructive ground reflection besides the LOS transmission.
STK computes the Total Propagation Loss using Complex signal values and then removes the free space loss. The two-ray component and the free space loss values are reported independently under the Free Space Loss and Urban Terres Loss elements of the access Link Information data provider.
The total propagation loss (free space and two-ray destructive/constructive signal loss/gain) is computed by adding the direct ray signal complex value and the reflected ray signal complex value. The complex (real/imagery) addition of the two signals determines the total loss/gain. The free space loss component is removed to report Two-Ray loss separately.
Note that this model is intended for low transmitter/receiver altitudes and short-range situations. It is best practice to use the model under these situations. If these conditions are not satisfied, the model accuracy may be compromised.
- Jake WC. Microwave Mobile Communications. IEEE Press
- Rapport TS. Wireless Communications Principal & Practice (2nd ed). ISBN 978-0130422323
- Wikipedia: Two-ray ground reflection model
System Noise Temperature
The System Noise Temperature calculation model in the STK application has several noise components; this section describes all the contributing factors and how STK software calculates the total System Noise Temperature.
The antenna component (Tantenna): The antenna noise consists of all noise coming from the environment into the antenna. Depending on the antenna type and your selections of the scenario environment, this may include sun noise, atmosphere, rain, troposheric and ionospheric noise, galactic noise, and cosmic background noise.
The antenna connects to the receiver front end by means of three system components:
- Antenna-to-Low-Noise-Amplifier (LNA) cable: This cable has both a loss value (LantToLNA), including connectors, and a noise temperature value (TantToLNA).
- Receiver front-end LNA: The LNA has a gain (GLNA), noise figure (NFLNA), and a noise temperature (TLNA).
- LNA-to-RF-receiver cable: This cable has a loss value (LLNAToRcvr), including connectors, and a noise temperature (TLNAToRcvr).
The component temperatures are in degrees Kelvin, and the LNA gain, noise figure, and loss values are in linear scale (not in dB).
You can provide additional sources of noise data (Tother), such as external noise profile data files, user-specified plugins, additional constant noise sources, etc. These are external to the antenna; STK processing adds them to the antenna noise temperature (Tantenna). If you do not provide any of these sources, then Tother = 0.
STK software then computes the total System Noise Temperature as follows:
Total System Noise Temperature = Tantenna + T1 + T2 + T3
where
Tantenna = base Tantenna described above + Tother
T1 = TantToLNA * (LantToLNA - 1.0)
T2 = TLNA * (NFLNA - 1.0)*LantToLNA
T3 = TLNAToRcvr * (LLNAToRcvr - 1.0)*LantToLNA/GLNA
System and antenna noise temperature are affected significantly by antenna polarization.
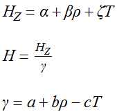
Antenna temperature
Antenna temperature is defined as
Ta = TExternal + TSun + TRain (ground-based objects), or
Ta = TSky + TGround + TSun + Train + Tcosmic +Tother (all other objects), where
Texternal = F(θ) ,
whereF(θ) is the interpolated antenna noise temperature as a function of the elevation angle based on your supplied external data. STK software uses third-order Lagrange interpolation. If the elevation angle is outside the range you supplied, STK software will use the closest value,
where
TSModel is the Sun noise temperature as calculated by the Sun model. The model is defined over the frequency range from 140 MHz to 100 GHz and can be calculated using:
wheref = frequency in GHz= integrated antenna gain over region intersected by Sun or Earth
TRain = T (1 - LRain)whereT = surface temperature in KelvinLrain = rain loss (in linear units)
Tsky = T (1 - LGAwhereLGA = gaseous absorption loss (in linear units),
TGround is defined analogously to Tsun
Tcosmic = 2.7 K
Tother = value you provided
Maral, G., and M. Bousquet, Satellite Communications Systems: Systems, Techniques and Technology , 2nd ed., Chichester: Wiley (1993), sec. 8.3.3.1.
Refraction models
The following constants and equations relate to refracted elevation and line-of-sight constraints.
ITU Refraction model
The ITU Refracted Elevation model is based on International Telecommunications Union Recommendation 834-4 (2003), equations (12-14). For the Refracted Line of Light constraint, the refracted elevation to the horizon is computed via equations (8-11) of the same ITU Recommendation. For elevation angles below the horizon, the refracted line-of-sight access constraint employs the unrefracted elevation angle to compute the range to the Earth. If the target range is less than this value, the constraint is satisfied.
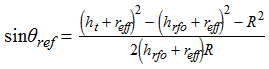
4/3 Earth Radius method
The 4/3 Earth Effective Radius method defines the refracted elevation angle θref as
where
ht = altitude of the target,
reff = 4/3 earth radius below the RF (comm or radar) object,
hrfo = altitude of the RF object, and
R = RF object-target range
For the line-of-sight constraint, the refracted range to the horizon rhor is calculated via trigonometry of right triangles:
The refracted elevation angle of the horizon θhor is computed as
If θref > θhor , line of sight exists, and the constraint is satisfied. If θref < θhor and R < Rhor, compute the range to the ground Rg at θref. If Rg > R , the constraint is satisfied.
, b,
, β, ζ are the frequency-dependent model coefficients. STK software determines the exact values used in the equations by using logarithmic interpolation based on the transmitter frequency. The table of raw values is in the data file GACoeff.dat in the directory

= integrated antenna gain over region intersected by Sun or Earth