SAR Constants and Equations
The following constants and equations relate generally to synthetic aperture radar (SAR).
Signal-to-noise ratio
Signal-to-noise ratio is defined by the following equation:
Ti * PRF * Pt * λ2 * GT * GR * σ * GO * K
SNR = --------------------------------------------
(4p)3 * Rt2 * Rr2 * LAT * LAR * PN * Lr
where
Ti = integration time
PRF = pulse repetition frequency
Pt = peak power
λ = wavelength
GT = transmitter antenna gain
GR = receiver antenna gain
σ = radar cross section
GO = other gains/losses
K = pulse compression ratio
Rt = transmitter-target range
Rr = receiver-target range
LAT = transmit path atmosphere attenuation
LAR = receive path atmosphere attenuation
PN = kTsB
wherek = Boltzman's constant (1.38 x 10-23 W/Hz K)Ts = system temperatureB = compressed bandwidth
Lr = receiver transmission line loss
SAR resolution parameters
Technical aspects of SAR resolution parameters modeled by the Radar capability are presented below.
Time-resolution product
The time-resolution product is defined by the following equation:
where
Ti = integration time
ρaz = azimuth resolution
λ = wavelength
Kaz = azimuth factor
= azimuth plane rotation rate of the transmitter about the facility, place, or target
= azimuth plane rotation rate of the receiver about the facility, place, or target
Range resolution
Range resolution in the target's local horizontal plane is defined by the following equation:
where
ρr = range (along line of sight) resolution = cKr /2B,
wherec = speed of lightKr = range broadening factorB = compressed bandwidth
ψ = grazing angle at target
Clutter ratios
Clutter ratios and related factors form the subject of the constants and equations discussed below.
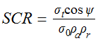
Signal-to-clutter ratio
Signal-to-clutter ratio is defined by the following equation:
where
σ0 = terrain clutter coefficient
ψ = grazing angle
ρa = azimuth resolution
ρr= range resolution
σt = target radar cross section
Clutter-to-noise ratio
The clutter-to-noise ratio is derived by dividing the signal-to-noise ratio by the signal-to-clutter ratio:
CNR = SNR/SCR
where
SNR = signal-to-noise ratio
SCR = signal-to-clutter ratio
Effective noise backscatter coefficient
The effective noise backscatter coefficient is defined by the following equation:
where
σ0= terrain clutter coefficient
CNR = clutter-to-noise ratio
Point target-to-clutter ratio
The point target-to-clutter ratio is defined by the following equation:
where
σ = radar cross section
ψ = grazing angle
ρa = azimuth resolution
ρr = range resolution
σn = effective noise backscatter coefficient
MNR = multiplicative noise ratio
σ0= terrain clutter coefficient
Other SAR parameters
Technical factors regarding SAR parameters other than those presented above are discussed here.
FM chirp rate
The FM chirp rate is defined by the following equation:
where
PCR = pulse-compression ratio
B = compressed bandwidth
τ = uncompressed pulsewidth
Max scene depth
The maximum scene depth is defined by the following equation:
where
BIF = IF bandwidth (data sample rate)
γ = FM chirp rate
C = speed of light
Max scene width
The maximum scene width is defined by the following equation:
where
PRF = pulse repetition frequency
Ti = integration time
ρaz = azimuth resolution
Ka = azimuth factor
Area coverage rate
The area coverage rate is defined by the following equation:
where
Δr = max scene depth
Wa = max scene width
Ti = integration time
= azimuth plane rotation rate of the transmitter about the facility, place, or target
= azimuth plane rotation rate of the receiver about the facility, place, or target