Tabulated Area Vector File Format

The Tabulated Area Vector (*.spad) file is an output from the Solar Pressure and Atmospheric Drag (SPAD) tool used by NASA Goddard Space Flight Center. SPAD is an ASCII-formatted file with header and data sections. Files contain:

  • a table of area vectors that represent the direction, area, and reflectivity associated with light coming from an associated direction in the body frame
  • metadata that describes the data table

Header information

STK uses the header information inside the SPAD file for the purpose of SRP modeling. Most of the header entries are in keyword/value format, where the keyword and values are separated by a colon. STK ignores the additional elements of the header not listed in this table.

Header Information
Keyword Value Description
Version This is the version of file format, provided for informational purposes only.
Analysis Type

Specifies the type of vectors contained in the data table. STK only supports the "Area" option.

Motion

The Motion keyword serves to introduce a metadata block that describes the independent coordinates used in the data table. Motion appears twice in the header and has valid values of 1 and 2. Motion 1 must describe the Azimuth coordinate and Motion 2 must describe the Elevation coordinate. Keyword value pairs within the Motion data are as follows:

  • Name provides the name of the coordinate being described. It must be Azimuth for Motion 1 and must be Elevation for Motion 2.
  • Method specifies how independent coordinate values are given. Step is the only valid value.
  • Minimum specifies the minimum value of the coordinate in degrees. It must be -180 for the Azimuth coordinate and -90 for the elevation coordinate.
  • Maximum specifies the maximum value of the coordinate in degrees. It must be 180 for the Azimuth coordinate and 90 for the elevation coordinate.
  • Step specifies the increment of the coordinate in degrees. The span of the coordinate (Maximum – Minimum) must be evenly divisible by the value of Step.
Record Count

Specifies the number of data records in the Area Vector table.

Data information table

The beginning of the data section is marked by a row containing lines similar to the following:

			Azimuth  Elevation  Force(X)   Force(Y)  Force(Z)
			degrees   degrees      m^2       m^2       m^2
			-------   -------   ---------  --------- --------- 
		

The first line indicates data content of force, even though in this case the actual content is area. Azimuth and Elevation must be in degrees, while you can specify Area Vector units as “m^2,” “cm^2,” “mm^2,” “in^2,” and “ft^2."

Column Value description
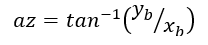
Azimuth

This is the azimuth of the direction from the satellite to the Sun, expressed in the body frame of the satellite.

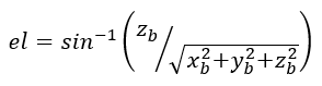
Elevation

This is the elevation of the direction from the satellite to the Sun, expressed in the body frame of the satellite.

Force(X) This is the spacecraft body frame X component of the associated area vector, given in the units specified in the table header.
Force(Y) This is the spacecraft body frame Y component of the associated area vector, given in the units specified in the table header.
Force(Z) This is the spacecraft body frame Z component of the associated area vector, given in the units specified in the table header.

Example files

Click here for a full version of an example file.

The following example is shortened. Header and table heading The direction that the aircraft is pointing. parts used by STK are bolded.

			Version         : 4.21
			System           : Cannonball
			Analysis Type    : Area
			Pixel Size       : 5
			Spacecraft Size  : 0.0
			Pressure         : 1
			Center of Mass   : (0.0, 0.0, 0.0)
			Current time     : Jul 22, 2022 00:00:00.00

			Motion    :  1
				Name    :  Azimuth
				Method  :  Step
				Minimum : -180
				Maximum :  180
				Step    :  20
				Motion    :  2
				Name    :  Elevation
				Method  :  Step
				Minimum : -90
				Maximum :  90
			Step    :  20
			: END

			Record count       : 171

			Azimuth   Elevation  Force(X)  	Force(Y)  	  Force(Z)  
			degrees    degrees      m^2      	  m^2      	    m^2      
			-------    ------- 	--------- 	--------- 	--------- 
			-180.00    -90.00  0.00000000000000  0.00000000000000 -6.00000000000000 
			-180.00    -70.00  0.77960811887780  0.00000000000000 -8.91096157443066 
			-180.00    -50.00  1.55328294923069  0.00000000000000 -8.80910535069420
			.
			.
			.
			180.00      90.00  0.00000000000000  0.00000000000000  6.00000000000000 
			-------   ------- 	--------- 	--------- 	  ---------