Central Body Components
A central body component models the gravitational, atmospheric, ephemeris, and other properties of a celestial body. The catalog of central bodies in the Ansys Systems Tool Kit® (STK®) application includes the known planets, the Sun, the Moon, and other bodies of common interest. You cannot duplicate any installed central body components except for the AsteroidTemplate component. You can edit the duplicate. Also, you cannot delete any central body components in the Component Browser, including the ones you created or imported from outside the STK application. Experience shows that deleting central body components from the Component Browser can cause instability in the STK application.
To view and edit the properties of a central body component, double-click it in the right pane of the Component Browser.
Gravity
A central body component's gravitational characteristics are defined by its gravitational parameter (
) gravity models.
The STK software uses the Gravitational Parameter value in point-mass force models and propagators and in element set conversions.
The Gravity Models field displays all the gravity models assigned to the central body. The STK software will apply the selected models to represent the full force model of the central body. You can click
to add a new gravity model to an editable central body component. To view and edit the properties of a gravity model that is assigned to the central body, select the model from the menu and click Details... to open the Gravity Model dialog box. The properties in this dialog box are described in the following table.
Gravity Model Dialog Box Properties
| Field | Description |
|---|---|
| Gravitational Parameter | Specifies the gravitational parameter value for this gravity model (i.e., for inclusion in a full force model). For an editable central body component, enter a value in units of the selected distance unit cubed per the selected time unit squared (e.g., km3/sec2). |
| Reference Distance | This is the distance from the center of mass of the central body to its surface, the approximate radius of the central body. The default value of this property is usually the Maximum Radius value in the Shape pane of the Central Body dialog box. |
| Zonal - J2 | This takes into account first-order Earth oblateness effects. |
| Zonal - J3 | This takes into account first-order longitudinal variations of the Earth's shape. |
| Zonal - J4 | This takes into account first- and second-order Earth oblateness effects. |
Gravity Models for Central Bodies in the Astrogator capability
| Central Body |
Model | Description |
|---|---|---|
| Earth | WGS84 EGM96 |
This model uses the coefficients from EGM96 with the shape model of WGS84, of which the defining parameters are:
|
| EGM2008 | Earth Gravity Model 2008 is an updated version of the EGM96 model. | |
| EGM96 | Earth Gravity Model 1996 is a geopotential model of the Earth consisting of spherical harmonic coefficients complete to degree and order 360. Developed jointly by NGA (formerly known as NIMA), NASA Goddard and Ohio State University. | |
| GEMT1 | Goddard Earth Model T1 is a NASA model to degree and order 36. | |
| GGM01C | Grace Gravity Model 01C was derived from Grace data combined with TEG4 information. | |
| GGM02C | Grace Gravity Model 02C was derived from Grace data combined with TEG4 information. | |
| JGM2 | Joint Gravity Model version 2 is a model that describes the Earth gravity field up to degree and order 70, developed by NASA/GSFC Space Geodesy Branch, the University of Texas Center for Space Research and CNES. | |
| JGM3 | Joint Gravity Model version 3 is a model that describes the Earth gravity field up to degree and order 70, developed by the University of Texas and NASA/GSFC. | |
| WGS84 | World Geodetic System 1984 is an Earth-fixed reference frame, including:
|
|
| WGS84 old | This is an older version of WGS84. | |
| Moon | LP150Q | This Lunar Prospector Lunar gravity model has GM = 4.902801076e+012 and reference distance = 1,738,000.0 m. The Lunar Prospector Lunar gravity model originates from the Spherical Harmonics Gravity ASCII Data Record (SHGADR) and is produced by the Lunar Prospector Gravity Science Team at JPL under the direction of A.S. Konopliv. |
| GL0420A | The GRAIL Lunar gravity model has GM = 4.90280012616000e+012 and reference distance = 1,738,000 m. | |
| GL0660B | The GRAIL Lunar gravity model has GM = 4.90280030555540e+012 and Reference distance = 1,738,000 m. | |
| GL0900D | The GRAIL Lunar gravity model has GM = 4.902800222140800e+012 and reference distance = 1,738,000.0 m. | |
| LP150Q | The Lunar Prospector Lunar gravity model has GM = 4.90280107600000e+012 and reference distance = 1,738,000.0 m. | |
| LP165P | Lunar Prospector Lunar gravity model has GM = 4.902801056E+12 and reference distance = 1,738,000.0 m. | |
| ZonalsToJ4 | The GRAIL Lunar gravity model has GM = 4.90280030555540e+012 and Reference distance = 1,738,000 m. | |
| GLGM2 | This model has GM = 4.9028029535968e+12 and reference distance = 1,738,000 m. This model was produced by the Laboratory for Terrestrial Physics at NASA's Goddard Space Flight Center: https://ntrs.nasa.gov/citations/19980018465. |
|
| LP100J | This Lunar Prospector Lunar gravity model has GM = 4.902800476e+012 and reference distance = 1,738,000.0 m. | |
| LP100K | This Lunar Prospector Lunar gravity model has GM = 4.902800238e+012 and reference distance = 1,738,000.0 m. | |
| LP165P | This Lunar Prospector Lunar gravity model has GM = 4.902801056E+12 and reference distance = 1,738,000.0 m. | |
| LP75D | This Lunar Prospector Lunar gravity model has GM = 4.902801374e+012 and reference distance = 1,738,000.0 m. | |
| LP75G | This Lunar Prospector Lunar gravity model has GM = 4.902800269e+012 and reference distance = 1,738,000.0 m. | |
| Mercury | Icarus1987 | This model has GM = 2.203209e+013 and reference distance = 2,439,000 m. Anderson, J. J., Colombo, G., Esposito, P. B., Lau E. L., and Trager, G. B. "The Mass, Gravity Field, and Ephemeris of Mercury", Icarus 71, 337-349, 1987. |
| Venus | MGNP180U | This model has GM = 3.248585920790000E+14 and reference distance = 6,051,000.0 m. |
| Mars | GMM1 | This model has GM = 4.28283579647735e+13 and reference distance = 3,394,200.0 m. |
| GMM2B | This model has GM = 4.28283719012840e+13 and reference distance = 3,397,000 m. These numbers came from the GMM-2B model published at http://bowie.gsfc.nasa.gov/926/MARS/GMM2B.html and submitted to Journal of Geophysics Research, November 2000. |
|
| Mars50c | This model has GM = 4.2828370371000e+13 and reference distance = 3,394,200 m. | |
| MRQ110C | This model has GM = 0.4282837564100000E+14 and reference distance: 3,396,000 m. | |
| Zonalstoj4 | This model has GM = 4.28282868534000e+013 and reference distance: 3,397,000 m. | |
| Jupiter | JUP230 | This model has GM = 1.26686535e+017 and reference distance = 71,492,000 m. Jacobson, R. A. The JUP230 orbit solution, 2003. There is no ephemeris prior to 2000 for Jupiter and its moons. |
| jup230Spice | This model uses SPICE gravity coefficients. | |
| Saturn | Astron2004 | This model has GM = 3.7931284e+016 and reference distance = 60,330,000 m. Jacobson, R. A., "The orbits of the major Saturnian satellites and the gravity field of Saturn from spacecraft and Earthbased observations", submitted to Astronomical Journal, 2004. |
| Uranus | ura083Spice | This model uses SPICE gravity coefficients. |
| Neptune | AstronAstro1991 | This model has GM = 6.835107e+015 and reference distance = 25,225,000 m. Jacobson, R. A., Riedel, J. E. and Taylor, A. H. "The orbits of Triton and Nereid from spacecraft and Earthbased observations," Astronomy and Astrophysics 247, 565-575, 1991. |
| nep016Spice | This model uses SPICE gravity coefficients. | |
| Pluto | plu017Spice | This model uses SPICE gravity coefficients. |
| Callisto | Icarus2001 | This model has GM = 7.179292e+12 and reference distance = 2,410,300 m. Anderson, J. D., Jacobson, R. A., McElrath T. P., Moore, W. B., Schubert, G., and Thomas, P. C., "Shape, Mean Radius, Gravity Field, and Interior Structure of Callisto," Icarus 153, 157-161, 2001. |
| Europa | Science1998 | This model has GM =3.20272e+012 and reference distance = 1,565,000 m. Anderson, J. D., Schubert, G., Jacobson, R. A., Lau, E. L., Moore, W. B., and Sjogren, W. L., "Europa's Differentiated Internal Structure: Inferences from Four Galileo Encounters," Science 281, 2019-2022, 1998. |
| Ganymede | Nature1996 | This model has GM = 9.8866e+12 and reference distance = 2,634,000 m. |
| Io | JGeoRes2001 | This model has GM = 5.96e+12 and reference distance = 1,821,600 m. Anderson, J. D., Jacobson, R. A., Lau, E. L., Moore, W. B., and Schubert, G., "Io's gravity field and interior structure," J. Geophysical Research 106, No. E12, 32963-32969, 2001. |
| Various | ZonalsToJ4 (Spherical Harmonics Gravity Field) | This is a gravity model for all central bodies except Sun, Earth, and Moon. |
Parents and children
The Parent field of the Central Body dialog box identifies the parent body of the central body. To substitute a different parent body, click
and select a new body.
The Children field lists any celestial bodies for which this central body is the principal source of gravitational influence. For example, if the central body is a planet, this is where any of its moons (that are modeled by components in the scenario) are listed. This field cannot be edited, but you can click
to review detailed information about the central body's children.
Shape
You can view and edit (for an editable central body component) a shape profile for the central body from the Shape menu. There are three basic shape types in the Astrogator capability, described in the following table.
Central Body Shapes
| Shape | Parameters |
|---|---|
| Sphere | This is specified by the radius of the spherical central body in the selected distance unit. |
| Triaxial Ellipsoid | This is specified by the Semi-Major Axis, Semi-Mid Axis, and Semi-Minor Axis of the ellipsoidal central body in the selected distance unit. |
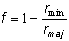
| Oblate Spheroid | This is specified by the Minimum and Maximum radii of the oblate spheroidal central body in the selected distance unit. When you edit this for an editable component and click or , the Flattening Coefficient is displayed in a read-only field. This coefficient is calculated by dividing the minor radius by the major radius and subtracting the quotient from 1, as shown in the following equation:
|
To add new shape profiles for an editable component, click
and select them in the dialog box that is displayed. You can select one of these new profiles from the Shape menu, along with the three basic profiles.
Attitude
To define attitude for a central body, click
and select either an IAU 1994 attitude definition or a Rotation Coefficient file type. Click to select a Rotation Coefficient file or to view the properties of an IAU 1994 definition, depending on which option you have selected.
You cannot edit the properties of an IAU 1994 definition using the Component Browser user interface. You must edit IAU 1994 definition files manually, outside of the STK application.
Ephemeris
You can view the ephemeris source for the central body from the Ephemeris menu. The following table describes the central body ephemeris sources available in the Astrogator capability.
Central Body Ephemeris Sources
| Source | Description |
|---|---|
| Analytic Orbit | This type of ephemeris source is described below in the Analytic orbit ephemeris sources section of this topic. |
| Ephemeris File | This is the path and file name of the external ephemeris (*.e) file . For editable components, enter the file path or click You can use a satellite to model a comet with the Astrogator capability. Generate the satellite's ephemeris, create a data file, and then use it as the ephemeris source for the your editable central body component. |
| JPL DE | The software uses ephemerides from the Jet Propulsion Laboratory's JPL DE set. |
| JPL SPICE | The SPICE propagator reads ephemeris from binary files that are in a standard format produced by the Jet Propulsion Laboratory for ephemeris for celestial bodies, but you can use it for spacecraft. |
| Planetary Ephemeris | This is the path and filename of the planetary ephemeris (*.pe) file. For editable components, enter the file path or click |
To add ephemeris sources to the central body, click
and select them in the dialog box that is displayed. You can select one of these new sources from the Ephemeris menu, along with the basic sources.
Analytic orbit ephemeris sources
To view and edit the orbital elements of an analytical ephemeris source, select it in the Ephemeris list and click . In the Ephemeris dialog box are the Epoch of the source and the Value and Rate (of change) for the classical (Keplerian) orbital elements listed in the following table. When editing, you must enter these data with respect to the body's parent, in the parent-inertial coordinate system.
Orbital Elements Properties of an Analytic Orbit Ephemeris Source
| Orbital Element | Definition |
|---|---|
| Semimajor Axis | Represents one-half the distance along the long axis of the elliptical orbit, with a value in the selected distance unit. |
| Eccentricity | This is a dimentionless ratio of the distance between the two foci of the ellipse and its major axis. |
| Inclination | Represents the angle from the Z axis of the inertial coordinate system to the orbit angular velocity vector, with a value in the selected angle unit. |
| Right Ascension of Ascending Node | Represents the angle from the X axis of the inertial coordinate system to the point where the orbit crosses the X-Y plane in the +Z direction, with a value in the selected angle unit. |
| Argument of Periapsis | Represents the angle measured in the direction of the body's orbital motion, and in the orbit plane, from the ascending node to the periapsis of the orbit. It has a value in the selected angle unit. |
| Mean Longitude | Represents the sum of the Right Ascension of the Ascending Node, the Argument of Periapsis, and the Mean Anomaly, with a value in the selected angle unit.
Mean Anomaly is the angle, measured from periapsis, of a hypothetical body moving with a uniform speed that is equal to the Mean Motion, i.e., the uniform rate of a body in a circular orbit of the same period. An accurate Mean Longitude Rate is essential, since the propagator uses this value rather than the gravitational parameter of a user-defined central body. |
