Exercise: Hohmann Transfer -- Technical Notes

Illustration of a Hohmann Transfer

Since the Delta-Vs occur at the apsides, the horizontal flight path angle is zero at the time of each burn and the velocity vector of the transfer orbit at each apsis is collinear with that of the respective circular orbit. Thus, in the case of a Hohmann Transfer between inner and outer orbits, Delta-V1 is the impulsive thrust needed to increase the apoapsis of the orbit to the radius of the outer circle, and Delta-V2 is the impulsive thrust required to circularize the orbit, i.e., to increase its periapsis to be equal to its apoapsis.

These notes are based on Example 3-6-1 in Hale, Francis J., Introduction to Space Flight, Englewood Cliffs, N.J.: Prentice-Hall (1994), pp. 43-44.

Derivation of Values Used for Delta-Vs

To compute the Delta-Vs for the Hohmann Transfer, you need to know the velocity of the satellite in each of the circular orbits and at the apsides of the transfer ellipse. The velocities of the inner and outer orbits are given by:

where μ is the Earth's gravitational parameter and ri and ro are the radii of the respective orbits. The energy of the transfer orbit is given by

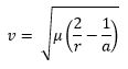
Using the well-known vis viva equation and solving for velocity,

where r = ri at perigee and r = ro at apogee, the velocities at the apsides are

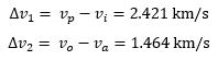
Thus,

The total velocity change required for the transfer is

Delta-V = Delta-V1 + Delta-V2 = 3.89 km/sec