Most Probable Point Concept [1]

The analytical methods from NESSUS generally are based on the Most Probable Point (MPP) concept. MPP is defined in the transformed standard normal u-space. In u-space the joint probability density function (PDF) is rotationally symmetric around the origin and decays exponentially as the square of the distance from the origin increases. The transformation from g(X) to g(u) is performed and the MPP is the minimum distance point from the origin u = 0 on the limit state function of g(u) = 0. The reason is that the joint PDF at a point in the u-space is proportional to where the sum of squares defines the distance. Thus density is maximum when the distance is minimum and the MPP is supposed to be the point with most density.

The MPP is a key point for the fast probability analysis. It is used as a basis to develop approximate polynomial g-functions. The approximate g-functions can be analyzed more easily using several methods, one of which is the first-order reliability method. The MPP can also be used as a basis for adaptive importance sampling wherein methods like FORM or AMV+ can be used to come up with the MPP. Distribution transformation from non-normal variables X to standardized normal variables u is done using the Rosenblatt transformation which in case of mutually independent variables, reduces to

where is the CDF of X and is the inverse CDF of a standardized normal random variable. Numerically generally the X-to-u or u-to-X transformations are needed only at points required to find the MPP, construct polynomials and perform importance sampling. The advantage for transforming to the u-space is that the probabilistic analysis becomes mathematically more tractable. The drawback is that the involved transformation may significantly distort the g-function. The methods from NESSUS use the Rackwitz-Fiessler algorithm [1] for computing the equivalent normal distribution.

Most Probable Point (MPP) Search Procedure [1]

The MPP is the key approximation point for the MPP-based methods.The identification of the MPP can be formulated as a standard optimization problem (i.e. find the minimum distance point subject to g=0). The optimization methods used here generally are gradient based methods and thus the analytical methods support only responses which vary smoothly with respect to the design variables. One process for finding the MPP is as follows:

  • (a) Assume an MPP x*.

  • (b) Compute equivalent normal distributions for the non-normal random variables at x*

  • (c) Construct a linear g-function using x* as the expansion point.

  • (d) Based on the equivalent normal distributions, compute the minimum distance and the updated MPP in the u-space.

  • (e) Repeat steps (b) to (d) until the MPP converges.

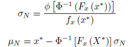
In (c), the equivalent normal distribution is computed by the Rackwitz-Fiesler algorithm which matches the CDFs and the PDFs for the original and the equivalent normal distribution at the MPP point. Thus the approximate normal parameters standard deviation and mean are:

The MPP obtained by this approximate normal method is identical to the one obtained using inverse transformation. The NESSUS methods use this equivalent normal approach. SwRI has found that the iterative algorithm stated above is quite efficient and robust. Sometimes there is a message saying that the method was not able to converge on an MPP, in that case the results should be used with caution. A good approach is to try a different method if one is not able to converge on an MPP as the MPP is the most important factor in analytical methods. There is also a possibility that there exist multiple MPPs both local and global. In such a case importance sampling methods should be used and as the last resort one can rely on Monte Carlo method. The EGRA method is also pretty good in dealing with non linear response functions and may be able to give good results.

References:1. NESSUS Theoretical Manual, February 17, 2012, Section 2.3-2.5