Fast Transfer Using Targeter
STK Premium (Space) or STK Enterprise
You can obtain the necessary licenses for this tutorial by
The results of the tutorial may vary depending on the user settings and data enabled (online operations, terrain server, dynamic Earth data, etc.). It is acceptable to have different results.
Capabilities Covered
This lesson covers the following STK Capabilities:
- STK Pro
- Astrogator
Problem Statement
Here, as in the Hohmann Transfer and targeting exercises, engineers and operators want to transfer a satellite from a low-Earth parking orbit with a radius of 6,700 km to an outer circular orbit with a radius of 42,238 km.
While a Hohmann Transfer is the most efficient two-burn maneuver to use in this situation, it is also one of the slowest. Among other things, the satellite is required to travel the entire length of the elliptical transfer orbit, including the approach to apoapsis, where its velocity is considerably slower than in the portion of the orbit near periapsis. If it is of great importance to reduce the time of flight (e.g. for a rendezvous or a planetary intercept) a maneuver such as that shown in the illustration can be used. This maneuver, known as a fast transfer, is considerably faster than a Hohmann Transfer, but, of course, it uses more fuel.
Solution
Use STK's Astrogator capability to design a fast transfer from a 6,700 km parking orbit to a 42,238 km outer orbit, using Mission Control Sequence (MCS) segments.
The values used here for the radii of the inner and outer orbits are for illustration purposes only. For further practice after completing this exercise, try substituting different values, such as a radius of 42,164.197 km (geosynchronous) for the outer orbit.
What You Will Learn
Upon completion of this tutorial, you will be able to:
- Design a Fast Transfer using Target Sequences
- Customize multiple Control Parameters and Equality Constraints (Results)
- Design a one tangent burn
Video Guidance
Watch the following video. Then follow the steps below, which incorporate the systems and missions you work on (sample inputs provided).
Setup
-
Click the Create a Scenario (
) button. - Enter the following in the New Scenario Wizard:
- When you finish, click .
- When the scenario loads, click Save (
). A folder with the same name as your scenario is created for you in the location specified above. - Verify the scenario name and location and click .
- Insert a new satellite (
) and name it Fast_Transfer. - On the Orbit page of the satellite's Basic properties, select the Astrogator propagator. You may need to expand the properties window to see all of the controls.
| Option | Value |
|---|---|
| Name | Faster_Hohmann_Transfer |
| Location | C:\Users\<username>\Documents\STK_ODTK 13 |
| Start | 1 Jul 2016 16:00:00.000 UTCG |
| Stop | 2 Jul 2016 16:00:00.000 UTCG |
Constructing the MCS
To design a fast transfer from a 6700 km parking orbit to a 42,238 km outer orbit, you will use the following MCS segments:
- An Initial State defining a parking orbit with a radius of 6700 km
- A segment to Propagate the parking orbit
- A Target Sequence containing an Impulsive Maneuver to enter a large elliptical transfer orbit (aiming at twice the desired radius of apoapsis)
- A segment to Propagate the transfer orbit halfway to apoapsis
- A Target Sequence containing an Impulsive Maneuver to cut short the transfer trajectory and enter the outer circular orbit (the fast transfer)
- A segment to Propagate the outer orbit
Let's take it a step at a time.
Define the Initial State
- The default MCS that appears when you display the satellite's Orbit page probably already begins with an Initial State segment. If not, insert one at the beginning of the MCS. Name the segment 'Inner Orbit'.
- Select the Initial State segment in the MCS.
- Select Keplerian as the Coordinate Type on the Elements tab.
- Change Semi-major Axis to a value of 6700 km and Inclination to 0 deg. All other elements should be set to zero by default.
Option Value Semi-major Axis: 6700 km Eccentricity: 0 Inclination: 0 deg Right Asc. of Asc. Node: 0 deg Argument of Periapsis: 0 deg True Anomaly:
0 deg - Select the Fuel Tank tab.
- Set the Maximum Fuel Mass to 5000 kg.
- Set the Fuel Mass to 5000 kg.
Propagate the Parking Orbit
- If the second segment of the MCS is not already a Propagate segment, insert one in that position.
- Select the Propagate segment in the MCS.
- Click the ellipsis button (
) to select Earth Point Mass as the Propagator. - Click OK.
- If you wish, select a different color for the segment.
- Set the Duration (Trip value) to 2 hr (7200 sec), more than enough to have the satellite orbit one complete pass.
Maneuver into the Transfer Ellipse
Now, use the targeter to calculate the Delta-V required to move the spacecraft from the parking orbit into the transfer orbit. The goal of the targeter will be defined in terms of the radius of apoapsis of the transfer ellipse, twice the radius of the desired final orbit.
Define a Target Sequence
- Insert a Target Sequence segment.
- Name the Target Sequence segment 'Start Transfer.'
- Nest a Maneuver in the Target Sequence.
- Name the nested Maneuver segment 'DV1'.
Select Variables
- Highlight the nested Maneuver and make certain that the Maneuver Type is set to Impulsive.
- Select Thrust Vector for Attitude Control.
- Select Cartesian as the vector type.
- Select VNC(Earth) Thrust Axes.
- Select the X (Velocity) component as the sole independent variable by clicking the target to the right of the text field.
- Click the Engine tab and select the Update Mass Based on Fuel Usage check box.
- Click and move (
) Radius of Apoapsis from the Keplerian Elements folder as the only dependent variable.
Set up the Targeter
- Select the Target Sequence, highlight the default Profile (Differential Corrector), and open its Variables page by clicking Properties... (
). - Select the Use options under Control Parameters and Equality Constraints.
- Set the Desired Value for Radius of Apoapsis to 84476 km.
- Make sure the targeter is turned on (select Run active profiles in the Action field).
Propagate the Transfer Orbit to 42238 km
- Insert another Propagate segment after the Target Sequence.
- Name the segment 'Transfer Ellipse' and select a color that will distinguish it from the first Propagate segment.
- Select Earth Point Mass as the Propagator.
- Insert an R Magnitude Stopping Condition, set the Trip value to 42238 km, and remove Duration.
Maneuver into the Outer Orbit
Here you will use the targeter to calculate the Delta-V required to break out of the transfer orbit midway to apogee and enter the outer circular orbit. The goal will be to circularize the orbit, i.e., change its eccentricity to zero.
Define a Target Sequence
- Insert another Target Sequence segment.
- Name the Target Sequence segment 'Finish Transfer'.
- Nest a Maneuver in the Target Sequence.
- Name the nested Maneuver segment 'DV2'.
Select Variables
- Highlight the nested Maneuver and make certain that the Maneuver Type is set to Impulsive.
- Select Thrust Vector for Attitude Control.
- Select Cartesian as the vector type.
- Select VNC(Earth) Thrust Axes.
- Select the X (Velocity) and Z (Co-Normal) components as the independent variables.
- On the Engine tab, select the Update Mass Based on Fuel Usage check box.
- Click and select Eccentricity (Keplerian Elements folder) and Flight Path Angle (Spherical Elements folder) as the dependent variables.
Set up the Targeter
- Select the Target Sequence, highlight the default Profile (Differential Corrector), and open its Variables page by clicking Properties... (
). - Select the Use options for both independent variables under Control Parameters and for both dependent variables under Equality Constraints.
- Leave the Desired Values for Eccentricity and Flight Path Angle at their default values of zero (0).
- Set Max. Step (under Control Parameters) for each independent variable to 0.3 km/sec.
- Display the Convergence page, increase the Maximum Iterations amount to 100, and select the Display Status option. Click OK to close the Properties window for the Profile.
- Set the Mode for the Profile to Iterate.
- Make sure the targeter is turned on (select Run active profiles in the Action field).
Propagate the Outer Orbit
- Insert a Propagate segment after the second Target Sequence.
- Name the segment 'Outer Orbit' and select a color that will distinguish it from the other two Propagate segments.
- Select Earth Point Mass as the Propagator.
- Set the Duration (Trip value) to 24 hours (86400 sec), so that the satellite will make a complete orbit pass (and one will be drawn in the 3D Graphics window).
The MCS tree should appear as follows when you are finished:
Running and Analyzing the MCS
Run the MCS and observe the targeting process as displayed in the Status window. When the process is finished, the 3D Graphics window should show a sharp turn from the transfer trajectory into the final orbit, similar to that shown in the illustration. Because of the change in direction, it is necessary to select two components of the second Delta-V as independent variables.
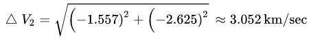
In the second Target Sequence segment (Finish Transfer), click Apply Changes . Then, in the nested Impulsive Maneuver (DV2), note the current values for Cartesian X and Z. Using these values to compute the value of Delta-V2,
yields a result that is very close to that reached via the Law of Cosines.
The current values you observe for Cartesian X and Z may differ slightly from those shown here, depending, e.g., on the Tolerance you use for Eccentricity in the second Target Sequence.
Incidentally, why are the values for X and Z negative in DV2? Because you are transferring into a lower energy orbit and slowing down.
As the technical notes for this exercise show, a fast transfer is more expensive in terms of Delta-V, but takes considerably less time, than a Hohmann transfer. You can also confirm this by running a Summary for the final Propagate segment and comparing the final Fuel Mass value with that for the Hohmann Transfer exercise.
Alternative Method:
One Tangent Burn
The one tangent burn strategy requires a bigger Delta-V from the initial position, in such a way as to travel the transfer orbit in the shortest amount of time. The angular displacement of the transfer orbit is now less than 180 deg, and a non-tangent burn shall be executed at the final position to properly get into the intended orbit.
Like in the Hohmann transfer case, we’d like to change the semimajor axis from 6700 to 14000 km, still maintaining the same inclination and eccentricity (circular orbit).
Insert a New Astrogator Satellite
- Insert an Astrogator satellite.
- Name it OneTangent.
Configure the initial coasting
- Select the Initial State segment in the MCS.
- Select Keplerian as the Coordinate Type on the Elements tab.
- Change the satellite’s initial state accordingly with the following:
Option Value Semi-major Axis: 6700 km Eccentricity: 0 Inclination: 0 deg Right Asc. of Asc. Node: 0 deg Argument of Periapsis: 0 deg True Anomaly:
0 deg - Select the Propagate segment in the MCS.
- Rename the default Propagate segment as Coast.
- Set a trip value of 1000 sec.
- Click Apply.
Configure the first Target Sequence – transfer orbit
The first burn is tangential; we don’t know its magnitude a priori, so we need to make this parameter an independent variable.
- Create a new Target Sequence and name it Transfer.
- Add a Maneuver segment and name it TangentBurn.
- In the TangentBurn segment, set the DeltaV Magnitude to be an independent variable; set an initial guess of 2 km/sec to help the Differential Corrector in getting the right result;
- Add a Propagate segment (nested inside the target sequence) and name it Prop to RMagnitude.
- In the Prop to RMagnitude segment, add a new stopping condition (type = R Magnitude) and set 14000 km as Trip value.
- Click the Results… button.
- From the Math folder, add a Difference component.
- As calculation object set Keplerian Elems -> True Anomaly.
- Leave the DifferenceOrderToUse field as it is: Current Minus Initial.
- Using the true anomaly as result, we force the transfer orbit to have a well-defined angular displacement (less than 180 for one tangent burn) when the orbit arrives at the intended R Magnitude value (14000 km in this case). We’ll set this parameter to be 140 deg in the Differential Corrector

- Click to close the Results... Panel
- Navigate to the Target Sequence, Transfer, and highlight the Differential Corrector Profile and rename it to Transfer Orbit.
- Select the Delta-V magnitude as Control Parameter and the Difference as the Constraint. Set its value to 140 deg:
- Click to close the window
- Set the Action to Run Active Profiles and run the MCS.
Configure the second Target Sequence – circularize
The second burn is non-tangential, so we need to set two control parameters.
- Create a new Target Sequence and name it Circularize.
- Add a Maneuver segment and name it NonTangentBurn.
- Set Thrust Vector as Attitude Control and set the X and Z component of the thrust to be independent variables (Z is in the radial direction):
- Click the button and, from the Keplerian Elems folder, add the Eccentricity and Semimajor Axis components;
- Navigate to the Target Sequence, Circularize, and highlight the Differential Corrector Profile and rename it to Circularize.
- Select the two Delta-V magnitudes as Control Parameter
- Set the following Equality Constraints (Results)
- Eccentricity: Desired Value = 0, Tolerance = 0.01
- Semimajor Axis: Desired Value = 14000 km, Tolerance = 0.1 km

- Click .
- Set the Action to Run Active Profiles and run the MCS.
Complete and run the MCS
- Add a Propagate segment and name it Final Orbit. Give it a duration of 6 hours;
- Run the MCS, clear the graphics and check the results.