DecrementMass

This attribute determines if the mass of the spacecraft will be updated on the basis of fuel usage.

Syntax

Astrogator <Satellite Object Path> SetValue <Attribute Path>.DecrementMass {Value}

Description

The value is a boolean. For an impulsive maneuver, set this attribute to true to decrement mass based on fuel usage. Otherwise, set it to false.

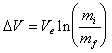
This attribute has no effect on the delta-V itself. If selected, the mass of the spacecraft will be updated by an approximated delta-M, using the rocket equation:

V = Veln(m0/mf)

where Ve = exhaust velocity, m0 = initial mass and mf = final mass, and thrust and Isp are held constant to their values at the beginning of the burn. See the technical notes below for the derivation of the equation relating change in mass to V.

Technical Notes

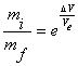
If the user opts to have mass decremented on the basis of fuel usage, the decrement is governed by the rocket equation:

where Ve = exhaust velocity, mi = initial mass and mf = final mass. This is equivalent to:

Given that mf = mi - m, and solving for m:

Example

Astrogator */Satellite/Satellite1 SetValue MainSequence.SegmentList.Maneuver.ImpulsiveMnvr.DecrementMass true

STK 11.2.1 Programming Interface