ThrustEfficiency

This attribute sets the value for Thrust Efficiency for the maneuver.

Syntax

Astrogator <Satellite Object Path> SetValue <Attribute Path>.ThrustEfficiency <Value>

Description

Enter the thrust efficiency value. Any number above zero is valid, with typical values around 0.98 to 1.02. A value of 1.0 means 'perfect' or 'nominal' behavior. A value of 0.98 would be termed a '2% cold' burn, while a value of 1.02 would be a '2% hot' burn. A value greater than 1.0 means the engine has performed better than expected.

Thrust Efficiency and Effects

Thrust efficiency E is related to final thrust (Tfinal) and engine thrust (Tengine) as follows:

Acceleration due to thrust depends on Tfinal and spacecraft mass m:

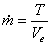
Mass flow rate is a function of thrust (defined below) and exhaust velocity Ve:

In the above equation, if the user elects to have thrust efficiency affect mass flow in addition to acceleration,

T = Tfinal

Otherwise, if the user opts to have thrust efficiency affect acceleration only,

T = Tengine

Example

Astrogator */Satellite/Satellite1 SetValue MainSequence.SegmentList.Maneuver.FiniteMnvr.ThrustEfficiency 0.99

STK 11.2.1 Programming Interface