Electromagnetic Spectrum Analysis

STK Professional, STK SatPro, Communications

The results of the tutorial may vary depending on the user settings and data enabled (online operations, terrain server, dynamic Earth data, etc.). It is acceptable to have different results.

Besides the required product licenses, you will need to have the Spectrum Analyzer plugin installed. The Spectrum Analyzer plugin comes with the STK install. During the installation process, you will be asked to choose desired plugins. Choose the Spectrum Analyzer. Another way to get the Spectrum Analyzer is to sign in to the AGI website and browse to SOFTWARE DOWNLOADS. Select Other and then choose the STK UI Plugins that correspond to your version of STK. If you are still experiencing problems getting and installing the Spectrum Analyzer, simply contact Support at 1-800-924-7244 or 610-981-8888.

Problem Statement

A constellation of low Earth orbit (LEO) satellites is being proposed that will transmit data within the Ku band. Many ships operate in this portion of the electromagnetic spectrum. The Global Shipping Conglomeration is concerned that the LEO satellites could interfere with satellite communications globally.

Solution

Build an STK scenario that simulates a portion of the proposed constellation of LEO satellites. A ship will be placed off the coast of Southern California. Determine a Link Budget between the ship and a geosynchronous (GEO) satellite. During a limited period of time, determine if any of the satellites interrupt data transfer between the GEO satellite and the ship. Use the Spectrum analyzer to view the spectrum utilization and visualize potential interference on the communication link.

Throughout this tutorial, unless otherwise specified, use default settings.

Create a New Scenario

Create a new scenario with a run time of two (2) hours.

  1. Launch STK ().
  2. Click the Create a Scenario () button.
  3. Enter the following in the STK: New Scenario Wizard:
  4. Option Value
    Name: STK_SpectrumAnalyzer
    Start: 1 Jun 2018 19:00:00.000 UTCG
    Stop: + 2 hrs
  5. When you finish, click OK.
  6. When the scenario loads, click Save (). A folder with the same name as your scenario is created for you.
  7. Verify the scenario name and location and click Save.

Save Often!

Disable Terrain Server

  1. Open the STK_SpectrumAnalyzer () properties ().
  2. Browse to the Basic – Terrain page.
  3. Disable Use terrain server for analysis.
  4. Click Apply.

Geosynchronous Satellite

Insert a Satellite () object which will function as the communications satellite.

  1. Use the Insert STK Objects tool () to insert a Satellite object () using the Orbit Wizard method.
  2. Make the following changes:
  3. Option Value
    Type: Geosynchronous
    Satellite GEO_Sat
  4. Keep the other default settings.
  5. Click OK.

GEO Satellite Transmitter

Insert a Transmitter () object which will function as the transmitter on the GEO satellite.

  1. Use the Insert STK Objects tool () to insert a Transmitter () object using the Define Properties method.
  2. When the Select Object window opens, select GEO_Sat () and click OK.
  3. On the Basic - Definition page, change Type: to Complex Transmitter Model.
  4. Click Apply.

Parabolic Antenna

The GEO Satellite is transmitting with a parabolic antenna.

  1. Select the Antenna tab.
  2. Make the following changes:
  3. Option Value
    Type: Parabolic
    Diameter: 2 m
  4. Select the Orientation tab and make the following changes:
  5. Option Value
    Azimuth: 244.0529 deg
    Elevation: 83.92558 deg
  6. Click Apply.

Transmitter Modulation

The Power Spectral Density (PSD) option allows STK communications to model the actual spectral shape of the transmitted signal based on the modulation, data rate, etc. The number of nulls will automatically set the signal's bandwidth.

  1. On the Basic - Definition page, select the Modulator tab.
  2. Enable Signal PSD and set Number of Spectrum Nulls: to three (3).
  3. Click OK.
  4. In the Object Browser, rename the Transmitter () object "GEO_Tx".

Test Ship

Insert a Ship () object which will function as the test location for the satellite communications reception

  1. Use the Insert STK Objects tool () to insert a Ship object () using the Define Properties method.
  2. On the Basic - Route page, change Route Calculation Method: to Specify Time.
  3. Set Altitude Reference - Reference to WGS84.
  4. Click Insert Point and make the following changes:
  5. Option Value
    Latitude: 33.65 deg
    Longitude: -119.56 deg
  6. Click Insert Point again.
  7. Add two (2) hours to point number two's time (ex. 1 Jun 2018 21:00:00.000 UTCG).
  8. Click Apply.

Add a Vector for Situational Awareness

Add a vector to the ship which targets the GEO satellite.

  1. Select the 3D Graphics - Vector page.
  2. Click Add... to open the Add Components window.
  3. Select Ship on the left.
  4. Expand the To Vectors folder on the right.
  5. Select the GEO_Sat.
  6. Click OK.
  7. In the Common Options field, set Scale: to 2.2.
  8. Click OK.
  9. In the Object Browser, rename the Ship () object "Ship".
  10. Bring the 3D Graphics window to the front.
  11. In the Object Browser, right-click on Ship and select Zoom To.
  12. Use your mouse buttons to get a good look at the ship and the vector which points to the GEO satellite.

Ship and Vector

GEO Satellite Antenna Orientation (Parabolic Antenna Boresite)

The GEO satellite antenna's boresite is located in Southern California (antenna orientation). The ship is approximately 67 kilometers away from this location at a bearing of 219 degrees. You can see this on the 2D Graphics window.

  1. Bring the 2D Graphics window to the front.
  2. Open the 2D Graphics window's properties ().
  3. On the Imagery page, disable Background Image - Show.
  4. Select the Details page.
  5. In the Map Details field, enable the following:
    • RWDB2_International_Borders
    • RWDB2_Islands
    • RQDB2_Provicial_Borders.
  6. Click OK.
  7. Zoom in to the map so that you can see the Ship object and a small (X) on the California coast which pinpoints the antenna boresite.

Antenna Boresite

Ship's Receiver

Insert a Receiver () object which will function as the ship's receiver.

  1. Use the Insert STK Objects tool () to insert a Receiver () object using the Define Properties method.
  2. When the Select Object window opens, select Ship () and click OK.
  3. On the Basic - Definition page, change Type: to Complex Receiver Model.
  4. Disable Auto Track and keep the default frequency (14.5 GHz).
  5. Click Apply.

Receiver's Antenna

The ships has a phased array antenna and will dedicate 19 elements for the exercise.

  1. Select the Antenna tab and make the following changes:
  2. Option Value
    Type: Phased Array
    Number of Elements X: 9
    Number of Elements Y: 9
  3. Click Apply.

Target the Geosynchronous Satellite

The phased array antenna elements will track the GEO satellite.

  1. Select the Beam Direction Provider tab.
  2. In the Beam Steering field, enable the Enabled option.
  3. Select GEO_Sat in the Available Objects list and move () it to the Assigned Objects list.
  4. Click Apply.
  5. Select the Filter tab.
  6. In the Receiver Bandwidth field, disable Auto Scale and set the Bandwidth: to 96 MHz.
  7. Click Apply.

Display the Volume Graphics

Volume graphics allow you to display the shape and gain levels of antenna beams.

  1. Select the 3D Graphics - Attributes page.
  2. Make the following changes to Volume Graphics:
  3. Option Value
    Show Volume On
    Minimum Displayed Gain: -10 dB
  4. Make the following changes to Pattern:
  5. Option Value
    Set azimuth and elevation resolution together On
    Azimuth - Resolution: 1 deg
  6. Click OK.
  7. In the Object Browser, rename the Receiver () object "Ship_Rx".
  8. Bring the 3D Graphics window to the front.
  9. In the Object Browser, right-click on Ship and select Zoom To.
  10. Use your mouse buttons to get a good look at the ship and the phased array antenna pattern.

Phased Array Antenna Pattern

Link Budget

A Link Budget Report between the ship and the GEO satellite is simple to accomplish in STK.

  1. In the Object Browser, right-click on Ship_Rx () and select Access () to open the Access Tool.
  2. In the Associated Objects List, expand () GEO_Sat ().
  3. Select GEO_Tx ().
  4. Click Compute.
  5. In the lower right hand corner of the Access Tool, in the Reports field, click Link Budget.
  6. Scroll to the right of the report and note the Eb/No (dB)values. Eb/No (dB) is what we'll focus on throughout the tutorial.
  7. Close the report and the Access Tool.

Walker Constellations

The Walker Tool makes it easy to generate a Walker constellation using the Two Body, J2, J4, or SGP4 orbit propagators. First, define a satellite with the characteristics and orbit you need and then open the Walker tool by highlighting the satellite in the Object Browser and selecting Walker... from the Satellite menu.

A Walker constellation consists of a group of satellites (t) that have the same period and inclination. The pattern of the constellation consists of evenly spaced satellites (s) in each of the orbital planes (p) specified so that t=sp. The ascending nodes of the orbital planes are also evenly spaced over a range of right ascensions (RAAN).

The way in which spacing between the ascending nodes that define the orbital planes is calculated depends on the Type of Walker constellation you choose. In addition to specifying the number of satellites in each plane, you must also specify the location of the first satellite in each plane relative to the first satellite in adjacent planes. The way to specify the position of the first satellite depends on the type of Walker constellation you choose.

Type Description
Delta Delta configurations have orbit planes distributed evenly over a span of 360 degrees in right ascension. Requires an integer value of f for inter-plane phasing.
Star Star configurations have orbit planes distributed over a span of 180 degrees. Requires an integer value of f for inter-plane phasing.
Custom A Custom configuration allows for explicit input of the span over which ascending nodes should be distributed and allows for the explicit specification of inter-plane phasing in terms of a true anomaly offset.

Create a Seed Satellite

The original satellite that is used to create the Walker constellation is referred to as the “Seed” satellite, while the satellites generated using the Walker tool are referred to as children. Use the Orbit Wizard to create the “seed” satellite from which the other satellites will be derived.

  1. Using the Insert STK Objects Tool () insert a Satellite () object using the Orbit Wizard () method.
  2. When the Orbit Wizard opens, set the following:
  3. Option Value
    Type: Sun Synchronous
    Satellite LEO_Sat
  4. Click OK.

LEO Satellite Transmitter

Insert a Transmitter () object which will function as the transmitter on the LEO satellite and all its children. Use a Simple Transmitter Model.

  1. Use the Insert STK Objects tool () to insert a Transmitter () object using the Define Properties method.
  2. When the Select Object window opens, select LEO_Sat () and click OK.
  3. On the Basic - Definition page, in the Model Specs tab, change Frequency: to 14.51 GHz.
  4. On the Basic - Definition page, select the Modulator tab.
  5. Enable Signal PSD and set Number of Spectrum Nulls: to three (3).
  6. Click OK.
  7. In the Object Browser, rename the Transmitter () object "LEO_Tx".

Create a Walker Constellation

At this time, you only have specifications on two orbital planes with each plane containing ten satellites.

  1. Right-click on LEO_Sat () in the Object Browser.
  2. Extend the Satellite menu.
  3. Select the Walker... item.
  4. Enter the following values on the Walker tool dialog:
  5. Option Value
    Type: Delta
    Number of Sats per Plane 10
    Number of Planes: 2
    Inter Plane Spacing: 1
    Color by Plane: Off
  6. Click Create Walker.
  7. Close the Walker Tool.

If the seed satellite has sub-objects such as transmitters, the sub-objects are also created for each of the child satellites.

Walker Satellite Relationships

When a Walker constellation is created, each child has the same base name as the seed satellite plus two numbers. The first number identifies the plane in which the satellite resides and the second identifies the satellite's position in the plane. For instance, here we define a Walker constellation with two planes and ten satellites per plane, LEO_Sat102 would be the second satellite in the first plane.

If you keep the seed satellite in the scenario, two identically configured satellites (the seed satellite and the first satellite in the first plane) will be considered in your analysis. To prevent duplicate analysis, let’s remove the seed satellite, now.

  1. Save () the scenario ().

When you save the scenario, all objects in the scenario are also saved. It is important that you save the scenario before you remove LEO_Sat in case you need to reload it later for further analysis.

  1. Remove () LEO_Sat () from the scenario.

View the LEO Satellite Constellation

  1. Bring the 3D Graphics window to the front.
  2. In the 3D Graphics window toolbar, click the Home View () icon.
  3. Use your mouse to turn the Earth in order to view the constellation of LEO satellites.

LEO Satellite Constellation

Communication System and Interference

STK Communications provides a CommSystem object that lets you identify interference sources and calculate the impact of interference on the communications links.

To set up a CommSystem object, you must first organize the relevant communication assets into three groups:

  • the transmitter(s) in the communications link of interest
  • the receiver(s) in the communications link of interest
  • the potentially interfering transmitters
  1. Using the Insert STK Objects tool, insert three (3) Constellation objects into the scenario using the Insert Default method.
  2. Rename the new Constellation objects Transmitter, Receiver and Interference.

Interference Constellation

  1. Open Interference’s () properties ().
  2. In the Basic - Definition page, in the Selection Filter: list, check Transmitter.
  3. Move () the selected transmitters from the Available Objects list to the Assigned Objects list.
  4. In the Assigned Objects list, remove () GEO_Sat/GEO_Tx from the list. You only want the LEO transmitters in the list.
  5. Click OK.

Receiver Constellation

  1. Open Receiver’s () properties ().
  2. In the Basic - Definition page, move () the Receiver object named Ship_Rx to the Assigned Objects list.
  3. Click OK.

Transmitter Constellation

  1. Open Transmitter’s () properties ().
  2. In the Basic - Definition page, move () the Transmitter object named GEO_Tx to the Assigned Objects list.
  3. Click OK.

Build the Comm System

The CommSystem object models dynamically configured communications links between constellations of transmitters and receivers.

  1. Add a CommSystem () object to the scenario using the Insert Default method.
  2. If the Comm System object does not appear in the Insert Objects tool, click the Edit Preferences... button and add it.

  3. Rename the CommSystem object LEO_Interference.
  4. Open LEO_Interference’s () properties ().
  5. On the Basic - Transmit page, move () the Transmitter constellation to the Assigned Constellations column.
  6. Select the Basic - Receive page.
  7. Move () the Receiver constellation to the Assigned Constellations column.
  8. Select the Basic - Interference page.
  9. Move () the Interference constellation to the Assigned Constellations column.
  10. Click OK.
  11. Save the scenario.

Calculate Interference

You are now ready to calculate interference.

  1. In the object browser, right-click on LEO_Interference ().
  2. Select CommSystem and click on Compute Data.
  3. Depending on your computer, this could take a minute or two. You can view a progress bar in the lower right corner of STK.

  4. Open STK_SpectrumAnalyzer's (Scenario object) properties.
  5. Select the 2D Graphics - Global Attributes page.
  6. In the Vehicles field, disable Show Ground Tracks / Routes and Show Orbits / Trajectories. This will declutter the 2D Graphics window.
  7. Click OK.
  8. Bring the 2D Graphics window to the front.
  9. You can see access lines between the ship's Receiver object, the GEO Satellite transmitter and LEO satellite Transmitter object(s).

  10. Click the Play () button in the Animation Toolbar to view these links dynamically.
  11. When finished, click the Reset () icon in the Animation Toolbar.

Potential Interference

LEO Interference Analysis

Use the Report & Graph Manager to determine if RF interference is affecting the ship's reception.

  1. In the Object Browser, right-click on LEO_Interference ().
  2. Select Report & Graph Manager.
  3. Ensure the Object Type: is set to the Comm System object and LEO_Interference is selected in the Object List.
  4. In the Styles list, right-click on the My Styles folder, click New and then select Graph ().
  5. Name the new graph "EbNo Interference" and then click Enter to open the graph's properties.
  6. In the Data Provider list, expand () Link Information.
  7. Select Eb/noand move () it to the Y Axis list.
  8. Return to the Data Provider list, select Eb/(No+Io) and move it to the Y Axis list.
  9. Click OK.
  10. Select BER Interference in the My Styles folder and click Generate.
  11. Update the graph's Step size to one (1) sec.

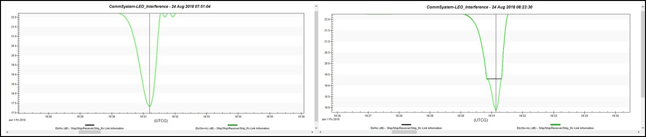
You can see that there are two (2) potential times that LEO satellite transmissions possibly interfere the ship's reception of the GEO satellite transmission.

Eb/NoInterference

Eb/No Interference

  1. Using your mouse's left button, zoom in to the first spike in the graph.
  2. Right-click on the bottom of the spike, and select Set Animation Time.
  3. If required, go to the graph's toolbar and click the Toggle animation time line () icon in order to see the vertical time line in the graph.
  4. Eb/No with Time Line

    As you can see, the LEO satellite is decreasing the Eb/No.

  5. Bring the 2D Graphics window to the front and locate which LEO Satellite is causing the interference.

LEO_Sat208 is causing the interference. You can see the difference in the Access line between LEO_Sat208 and LEO_Sat102.

LEO_Sat208 Interference

Spectrum Analyzer

The Spectrum Analyzer is similar in nature to a real spectrum analyzer instrument, but with some additional features tailored toward STK. The Spectrum Analyzer enables you to view the spectrum utilization in different ways. It has various modes to help you understand the currently assigned emitter frequency allocations as well as when and how “hot” the spectrum band is currently being utilized. You can visualize the aggregate spectrum utilization and intensity from the perspective of what a specific receiver, at some geographical position, may encounter. It can show the emitters as itemized power spectrum densities at an instantaneous time or as an aggregate over a window of time.

  1. Click on View on the Menu bar.
  2. Extend the Toolbars menu.
  3. Select Spectrum Analyzer.
  4. Click on the Spectrum Analyzer icon in the Toolbars section of the GUI.
  5. In the Spectrum Analyzer window, select /Satellite/GEO_Sat/Transmitter/GEO_Tx and /Satellite/LEO_Sat208/Transmitter/LEO_Tx18.
  6. Right-click on /Satellite/LEO_Sat208/Transmitter/LEO_Tx18.
  7. Set the color to red and click OK.

Receiver View

  1. Enable the Receiver View.
  2. Ensure the Lock To Receiver option is selected.
  3. Set the Vertical Scale to -160.

Data Display

  1. Select Data Display on the Spectrum Analyzer Menu bar.
  2. Ensure Peak and C/I are selected.
  3. Extend the Edit menu on the Menu bar.
  4. Click Properties...
  5. Update the Sweep Line Width to three (3).
  6. Click Ok.

Animate the Scenario

  1. Decrease () the animation time step to one (1) sec.
  2. Play () the scenario and watch the interference dominate the desired signal for a short amount of time.
  3. Spectrum Analyzer and Graph

  4. Using steps in Eb/NoInterference, determine the other LEO satellite interfering with the communication link.
  5. If desired, view the interference in the Spectrum Analyzer.
  6. When finished, change the scenario animation time back to when LEO_Tx18 () interferes with Ship_Rx ().
  7. Bring the 3D Graphics window to the front.
  8. Zoom To Ship and view the non-nulled antenna pattern.

Non-nulled Phased Array Antenna Pattern

Null Direction Provider

The Phased Array Antenna Null Direction Provider tab enables you to select where the antenna points its nulls. This information is delivered to the beam former, which is responsible for forming and steering the beam toward the specified direction(s).

  1. Open Ship_Rx's () properties ().
  2. On the Basic - Definition page, select the Antenna tab and then the Null Direction Provider tab.
  3. In the Null Steering field, enable the Enabled option.
  4. Move LEO_Sat108 and LEO_Sat208 from the Available Objects list to the Assigned Objects list. The are the two transmitters interfering with the ship's communications.
  5. Click OK.
  6. Return to the 3D Graphics window.
  7. You can see how nulling the LEO transmitter has affected the view. The beam attempts to maintain access with the GEO transmitter while nulling the LEO Transmitter. You can also jump to the second interference spike in the EbNo Interference graph and visualize the attempt at nulling the LEO Transmitter.

    Nulled Antenna Pattern

  8. You can Play () the scenario or Reverse () the scenario to view the Phased Array Antenna as it nulls the LEO transmitter.
  9. When finished, Reset () the scenario.

View the BER Graph

Nulling may or may not improve the link.

  1. Bring the EbNo Interferencegraph to the front.
  2. Zoom out () on the graph.
  3. Refresh () the graph.
  4. As you can see, nulling increased the BER for both instances of interference.

  5. Zoom in to the first instance of interference.

In this instance, nulling does not have much impact on the interference.

Nulled and Non-nulled Comparison

Save Your Work

  1. When finished, close all reports, the Report & Graph Manager and the Spectrum Analyzer.
  2. Save () your work.