B-Plane Targeting

The b-plane is a planar coordinate system that allows targeting during a gravity assist. You can think of it as a target attached to the assisting body.

The description given here is based on one given in National Aeronautics and Space Administration, Mission Analysis and Design Tool (Swingby): Mathematical Principles, Revision 1, September 1995 (Draft), Section 4.4.1.

B-plane targeting is used in a Lunar lunar mission exercise included in the Help.

The b-plane is defined to contain the focus of an idealized two-body trajectory that is assumed to be a hyperbola. Also, it must be perpendicular to the incoming asymptote of that hyperbola. The incoming and outgoing asymptotes,and, and the focus are contained in the trajectory plane, which is perpendicular to the b-plane:

The intersection of the b-plane and the trajectory plane defines a line in space. The b-vector is defined to lie along this line, starting on the focus and ending at the spot where the incoming asymptote pierces the b-plane. The vectorsandlie in the b-plane and are used as axes.

To derive the b-plane and the b-vector, a trajectory is run out to the assisting body. The incoming asymptoteis calculated, and then the b-plane and b-vector are formed. To calculate the asymptote, the spacecraft's two-body orbit must be characterized. This is done by calculating the spacecraft's orbit-normal unit vectorfrom the positionand velocityat the periapse:

This fixes the orbit plane's orientation in space. Next, we calculate the eccentricity vector:

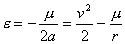
This fixes the direction of the periapse. Finally, we calculate the semimajor and semiminor axes, a and b, respectively. Obtain the semimajor axis from the energy equation:

Solving for a gives:

The semiminor axis is obtained from the equations b2 = a2 + c2, and e = c/a, where e is the magnitude of the eccentricity vector, giving:

Once the orbit is characterized, the direction of the incoming asymptotecan be determined. Sincelies in the orbit plane, only two orthonormal vectors in the plane are needed to uniquely determine its position. The eccentricity vector, originating at the focus (center of the assisting body) and pointing toward the periapse, forms a natural X-axis. The cross product ofandform the Y-axis:

The half bend anglecomes from the equation:

The incoming asymptote unit vectorcan then be calculated from:

If we now cross with a vector centered at the assisting body we can form a vector that is perpendicular to and goes through the center of the body. There are two vectors that are usually chosen for , either the body's polar vector or its orbit normal. In Astrogator is the reference vector defined in the b-plane calc objects, set to orbit normal by default. The vector perpendicular to , , is defined by crossing and :

The final vector is then obtained from and with another cross product:

If the body has no appreciable gravitational field, you can simplify the b-plane calculations. The incoming asymptote unit vectoris simply the relative velocity vector of the spacecraft. Use thevector in conjunction with the reference vector (e.g. the celestial body's orbit normal) to form thevector. The cross product ofandthen yields, as before. All that remains is to form the b-vector. A cross product ofand the spacecraft's orbit normal unit vector gives, the direction of the b-vector:

The distance from the focus to the intersection of the incoming asymptote () and the b-plane can be shown to be equal to the semiminor axis b, giving:

for the b-vector.

The components of the b-vector form targetable quantities and may be expressed in Cartesian or polar form:

Delta Right Ascension is the difference between the right ascension of the target body and that of the satellite. The right ascension is measured for the target body's parent body, in the parent body's inertial coordinate system.

Delta Declination is the difference between the declination of the target body and that of the satellite of the target body's parent body.