Engine Models and Related Concepts

Constant Thrust and Isp Engine Model

In the Constant Thrust and Isp Engine Model, you enter a constant value for thrust T and for the Isp (specific impulse). Exhaust velocity Ve is calculated on the basis of Isp and the gravitational acceleration constant at sea level, g, as follows:

Ve = Isp(g)

Constant Acceleration and Isp Engine Model

In the Constant Acceleration and Isp Engine Model, you enter a constant value for acceleration and for the Isp (specific impulse). The thrust level is given as a function of time through the relationship:

T(t) = mdot( m(t), a, g, Isp ) * g * Isp

where the mass flow rate is calculated from the mass, m(t), at a given time and a, g, and Isp are constants.

Pressure Mode

If you select the Blow Down mode, pressure is decremented by the ideal gas law:

where P = pressure in fuel tank, V = volume of fuel tank, and = density of fuel.

Thrust Efficiency and Effects

Thrust efficiency E is related to final thrust (Tfinal) and engine thrust (Tengine) as follows:

Acceleration due to thrust depends on Tfinal and spacecraft mass m:

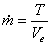
Mass flow rate is a function of thrust (defined below) and exhaust velocity Ve:

In the above equation, if you elect to have thrust efficiency affect mass flow with acceleration,

T = Tfinal

Otherwise, if you opt to have thrust efficiency affect acceleration only,

T = Tengine

Mass Decrement Based on Fuel Usage

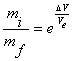
If you opt to have mass decremented on the basis of fuel usage, the decrement is governed by the rocket equation:

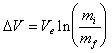
where Ve = exhaust velocity, mi = initial mass and mf = final mass. This is equal to:

Given that mf = mi - m, and solving for m: